Sabato 31 agosto '96: il SACRIPANTE
Cari diversamente figati, rieccoci qua... sempre meno e sempre peggio!
Spud era uscito dalla vita, nostra e sua, blindato dai genitori per sempre; di conseguenza,
erano spariti anche Andy e Begbie il Porko.
Lyde,
Zio Fa
ed il
Gufo erano perennemente in sala prove con gli
"Sklerks";
Zio Barese aveva cambiato casa e non aveva un telefono;
Beat ci skifava perché
"Voi uscite solo per BERE!".
Così, la sera eravamo rimasti
QUEI QUATTRO... o ciò che ne faceva le veci:
- Attila, il profeta del '96 come anno CALABRESE, ormai era Val d'Aosta e rassegnazione.
- Niger, il muto che voleva fare il DJ, adesso era una segreteria telefonica: gli dicevamo l'ora in cui lo passavamo a prendere, lui emetteva un segnale acustico e buttava giù.
- Jena il rollatore aveva passato l'inverno con la varicella, l'estate con entrambe le braccia ingessate, nel mezzo, era stato SEGATO a tutti gli esami più facili di Economia e adesso si preparava all'incubo peggiore: la NAJA!
Per il rinvio, servivano
DUE esami entro la fine del '96:

Jena era fottuto.
Però aveva levato il gesso, quindi avevamo di nuovo una macchina... e - udite udite... - un'
autoradio!
"Ficca a Vasco! - disse Attila
- Dai, è calabrese!"
"FANKULO! Di Vasco non ho un CAZZO!"
"Mh..." propose Niger.
"E neanche dei LITFIBA!"
"Metti ELIO! Non hai la mia cassettina? Ma SOKA!"
Jena sbuffò:
"Fatemi vedere cos'ho, va'... facciamo prima! Uuuh... allora, Depeche Mode, un Ligabue d'annata,
Mao e la rivoluzione..."
"MINCHIA VAI, CAZZO!!! FICCA A MAO! MAO È TROPPO CALABRESE!!!"
Mao e la Rivoluzione
era il simbolo della nostra sfiga: l'avevo scoperto io un mattino che avevo la febbre, avevo acceso la TV... e c'era lui che
mi guardava e cantava
"FEBBRE".
Poi eravamo andati a sentirlo alla Pellerina,
Jena
stava sotto il palco con ENTRAMBE le braccia INGESSATE e Mao, dal palco, cantava:
"Come ho perso la mia guerra? Con enorme allegria!"
Era perfetto.
Adesso che avevo smesso di scrivere, potevo lasciar fare a lui.
"Oh, Marok, ma quindi? Non farai più storie nuove? Ma davvero? Per sempre?"
"Ma soooooka! - risposi
- Mi cinghiano, mi blindano e mi cinghiano di nuovo!"
"E ti portiamo le arance! E pure la vaselina!!! Dai, te la giochi male..."
"Comunque basta che cambi i nomi... - suggerì Jena
- Come Niger, che si chiamava già Niger! Inventa dei soprannomi pure per noi..."
"Hm..." sentenziò Niger, dopo una lunga pausa.
"Eh, Niger ha ragione... - ammisi
- Ma cazzo c'è da raccontare? Ormai..."
"Ormai un CAZZO! - esclamò Jena
- Dai, facciamo il BACK TO
BACK TO RONCO!
Ti do anche il sottotitolo: sempre di MENO e sempre PEGGIO!"
Bella frase! Ai tempi dei racconti, l'avrei messa in prima riga.
Attila, intanto, sfogliava il
libretto delle birrerie pacco...
e lanciò un urlo:
"MINCHIA! Stasera c'è Mao e la Rivoluzione!"
"Cazzo dici? - rispose Jena
- Ho già cercato su TorinoSette e c'è un cazzo!"
"E infatti non è a Torino..."
"Ah, ecco. E dove cazzo è?"
"In un posto chiamato
SACRIPANTE.
Ad
Ala di... STURA?"
"Minchia ALA TI STURA? E che CAZZO è? Marok?"
"Val di Viù! - risposi -
Sopra Ceres. Ci va un'ora! Come minimo..."
"Boh... ci sai arrivare?"
"Minchia!"
"Ok... - sorrise Jena
- Avremo un'altra recensione!!!"
La Jenamobile partì e la serata pacco era servita: fine dei rimpianti del passato!
Incominciava una nuova stagione: basta col '95!!!
Lunedì 21 febbraio '94 - PERCHÉ LA FISICA È BELLA.
La rossa ballava sulla sabbia quando mi vide e le scappò un urletto!
Le altre sorrisero e mi corsero incontro, coperte solo da una camicia a quadri aperta che giocava col vento... ed il resto era natura.
Poi la grande luce bianca... il lampo terribile, accecante.
Ed infine, l'incubo: la realtà.
"SVEGLIATI! SVEGLIA! Abbi un po' di decenza e datti da fare, lo studio è importante! Ascolta la voce della tua coscienza! Vai a scuola! Non crescere ignorante come i tuoi amici, lavora sodo! Ripensa a ciò che dice Padre Dante
degli IGNAVI! Questo misero modo tegnon l'anime triste di coloro che visser sanza 'nfamia e sanza lodo. Mischiate sono a quel cattivo coro..."
Minchia... alle otto del mattino, cattivo coro stocazzo! Persino
Nerina
mandò affankulo mia mamma, che però non capiva il gattese. Peccato.
"Almeno... MANGIA!!! Sei sveglio o fai finta?
Fai un po' di colazione! In dispensa
c'è tanta roba! Non puoi averla vinta
sempre, un giorno finirai alla mensa
dei reietti, se non avrai un lavoro
decente! Pensa a Padre Dante, pensa!
Mischiate sono a quel cattivo coro
de li angeli che non furon ribelli
né fur fedeli a Dio, ma per sé fuoro.
Caccianli i ciel per non esser men belli..."
Misi le cuffie, scesi le scale e saltai al volo sul tram.
A quell'ora, il freddo era bastardo: sfuggiva dagli spifferi di sfiga della gente che andava a lavorare. Nemmeno i Nirvana riuscivano a scaldarmi... ed era solo il
PRIMO giorno del secondo semestre! A partire da oggi,
TUTTE le lezioni sarebbero state al mattino... fankulo.
L'unica cosa positiva era la TV:
"Telekommando" stava per andare a casa di Rocco Tanica!
E poi c'era lo scambio di dischetti: il
Pazzo
mi aveva portato l'ultima versione di
Fractint,
ma il regalo migliore me lo fece
GM:
mi aveva trovato il DOS6! Quindi potevo lanciare
"DoubleSpace",
il programma che
RADDOPPIAVA l'hard disk!!!
Poi
entrò la prof e il casino sbadì.
Dai, però sembrava simpatica: non aveva il cipiglio matematico... o forse eravamo noi ad essere rincoglioniti.
"Buongiorno, ragazzi! - disse
- Sono felice di vedere l'aula così piena, nonostante Fisica1 sia L'UNICO esame non propedeutico a NESSUN altro corso obbligatorio! Certo, io vi consiglio di inserire nel piano di studi anche Fisica2, ma spero che voi continuerete per un altro motivo. E cioè perché... LA FISICA È BELLA!"
Giuro, l'aveva detto. Testuali parole:
"Perché LA FISICA È BELLA!"
Alle nove del mattino.
Ok. Nessuno di noi avrebbe più parlato di Fisica1.
Venerdì 22 marzo '96: LA PRIMA VOLTA DI JOCO
Quel venerdì mi alzai come sempre all'alba, mezzogiorno... ma avevo la febbre.
Giornata di merda.
Oltrettutto, era
l'anniversario dell'inculata di Telekommando: due anni da quando Monti e Lorenzini erano andati
da Rocco Tanica...
e io
non avevo visto un CAZZO perché
si era CIMITO il ripetitore di VideoMusic!
Subito dopo,
mi ero anche FOTTUTO l'hard disk, a causa di un programma di MERDA chiamato
DoubleSpace!
E va be', oggi avevo l'hard disk più grande del mondo (UN GIGA!) e VideoMusic si vedeva DA DIO! A parte che adesso c'era un tizio assurdo che mi guardava e cantava:
"È bello sentire febbre!"
Ma vaffankulo! Girai sul TG.
"Allarme MUCCA PAZZA, si moltiplicano i decessi causati dal consumo di carni contaminate dal
morbo di Creutzfeldt-Jakob..."
No, cazzo!
Era la malattia di
X-Files,
quella che infettava i
CANNIBALI che diventavano INDEMONIATI e CREPAVANO:
"Good people, good food"!
Dovevo IMMEDIATAMENTE telefonare all'
X-ofilo numero uno:
Joco.
"Ohu! - dissi
- Ti ricordi il morbo di Creutzfeldt-Jakob? Sì, quello di X-Files! Guarda il TG, sta infettando la gente nella REALTÀ! In scala MONDIALE!"
Joco accese la tv e scoppiò a ridere.
"Figata! - rispose
- Ma te? Che fai a casa?"
"Io? Ho la Mucca Handicappata! E tu?"
"Eh, stamattina ho provato lo scritto di Fisica! E poi son venuto via..."
Vero:
Joco e Mandingo si erano BRUCIATI la prima AntiNaja, dando
Sistemi1
a dicembre (anziché a gennaio come tutti), così adesso rimediavano con Fisica1! Però dicevano che tanto era una cazzata, perché
l'anno scorso ce l'aveva fatta
Grip.
"Ma dai! E com'è andata?"
"Mah, non lo so... mi sono venuti risultati SIMILI a quelli giusti..."
"Ah, bene. Farai un anno SIMILE alla Naja!"
"Ma vaffanbagno! Comunque, sempre meglio di Mandingo..."
"Perché? Che ha fatto Mandingo?"
"Boh... chi l'ha visto? Non si è neanche presentato!"
Conoscendolo, avrei scommesso che se n'era dimenticato.
Giovedì 28 marzo: LA PRIMA VOLTA DI JOCO (rapporto orale)
Quel mattino, il ciuccio aveva l'orale.
Con questo, non voglio dire che avesse passato lo scritto: aveva preso 17.
Solo che poi era andato dalla prof ad implorare PIETÀ ed aveva funzionato: gli avrebbe fatto qualche domanda in più, sicuramente alla fine avrebbe avuto un voto poco esaltante, ma... SI POTEVA FARE!!!
Insomma, si preannunciava un orale divertente: avrei fatto qualunque cosa per vederlo, tranne svegliarmi alle otto del mattino e andare a scuola! Così, con la dovuta pigrizia, presi il telefono e composi, lentamente, il numero.
"Ma vaffanbagno! - rispose Joco - Non sono passato..."
"Ma dai... ti ha segato?"
"No, mi sono RITIRATO: ha segato i primi due, che avevano 25..."
"MA CAZZO, NO! DAI! DOVEVI PROVARE LO STESSO!!!"
"No no, giornata di merda, rifaccio lo scritto l'11 aprile. Fangù!"
Joco si meritava TUTTA la NAJA del MONDO.
Giovedì 2 maggio: IL TRIONFO DI MANDINGO
Quel giovedì mi alzai alle otto del mattino, ma c'era chi stava PEGGIO:
Joco!
Allo scritto dell'11 aprile, non solo
era stato di nuovo SEGATO, ma
aveva preso 15... quindi
orale FANKULO!
Tuttavia, la notizia drammatica era un'altra:
Mandingo
(ripeto... Mandingo!)
aveva preso 26!!!
Stamattina aveva l'orale e volevamo esserci TUTTI! Solo una persona ne avrebbe fatto volentieri a meno: la prof.
Del resto, Mandingo era in forma strepitosa: per un terzo enorme testa capellata, per un terzo busto privo di collo e, per il restante, zampette insignificanti che terminavano in piedi a papera, divergenti di 90 gradi, per un totale che non superava il metro e 65, iniziò a parlare a raffica... ed il livello di CASINO mondiale si impennò all'INFINITO.
Un'inestricabile babele linguistica di suoni Klingon, Khuzdul e Khmer avvolse l'aula, teletrasportandola su pianeti inesistenti... finché la curvatura dello spaziotempo non divenne illegale! A quel punto, dopo un'ora di travaglio serrato, la prof si arrese, si mosse a pietà e
gli tolse solo un punto!
Per questo, il 2 maggio è tuttora giornata mondiale del lutto scientifico.
"Ihihihihihiiiiiiiiii! - urlò Mandingo
- HO PRESO 25! E voi? Quando la daaate?"
"Boh... al prossimo appello riprovo! - commentò
Joco
-
Adesso però volevo studiare qualcos'altro... magari Calcolo!"
"CALCOLO NUMERICO??? Cioè... ti sei fatto SEGARE di FISICA per DUE volte di fila e vuoi dare lo scritto di CALCOLO NUMERICO?"
"Ma vaffanbagno, ce l'ha fatta Nichel..."
"Sì, spaccandosi il culo da OTTOBRE a MARZO!"
"Boh, sei mesi? Va bene, siamo a maggio... per Naja sono a posto!"
La fronte dell'Essere si corrugò di vene violacee, le labbra si contrassero in un ghigno malefico, gli occhi diventarono taglienti come spine avvelenate, quindi puntò il dito ed urlò:
"Ihihihihihiiiiiiiiii! Ragazzi, questa è una tipica scena da FILM! Nel fotogramma dopo, c'è Joco in CASERMA che suona la trombetta e corre... coi nonni dietro che lo pigliano a CINGHIATE! Ihihihihihiiiiiiiiii!"
In tutto ciò, Nichel regalò a Joco i suoi appunti di Calcolo Numerico. E Joco, dopo averli visti, averli annusati ed averne constatato lo spessore... ricominciò a studiare Fisica1.
Era un anno divertente.
Lunedì 10 Giugno: LE MERAVIGLIE DELLA TECNICA
Col passare dei giorni, attorno alla
Naja di Joco nacque un vero e proprio filone letterario, ambientato in una
caserma punitiva, in cui
erano TUTTI NONNI tranne LUI.
Quindi, un intero braccio della caserma veniva destinato alla raccolta di oggetti di forma fallica, di lunghezza e spessore incrementale, da infilare tutti i giorni nel CULO di JOCO, mentre lui rifaceva TUTTE le brande... e, alla fine, se non diceva che era CONTENTO, i nonni gli AUMENTAVANO i giorni di Naja, all'INFINITO.
Intanto, io avevo completato l'AntiNaja, dando
Sistemi1
ed
Analisi2!
E così, la Voce della mia Coscienza smise di rompere i coglioni ed il suo nemico numero uno, papàMarok, mi regalò quello che aspettavo da MESI: il
PENTIUM!
Ecco le specifiche, grazie per avermele chieste!
E poi ereditai dal 486 l'hard disk da UN GIGA: per montarne di più grandi (follia a parte...) sarebbe servito un controller SCSI
['skazi].
Sulle prime, Nerina annusò i componenti hardware con una certa dose di diffidenza, un po' come Joco con gli appunti di Calcolo; poi però
fece amicizia:
capì che adesso non avrei avuto voglia di uscire MAI PIÙ!
E meno andavo a scuola, più la gente riusciva a dare esami:
sconsacravo il concetto stesso di studio!
Così, giovedì 6 giugno,
Joco riuscì finalmente a passare lo scritto di Fisica1, con uno strabiliante
28!!!
Lunedì 10, poi,
Mandingo riuscì a completare l'AntiNaja, strappando un 18 di ANALISI2!
E Nichel impazzì.
"Ohu, handicappato! - disse
- Facciamo anche noi Fisica1?"
"Mmmm... fammi pensare... - risposi
- Ok, ci ho pensato. Vaffankulo!"
"Sei scemo? Guarda che Joco ha l'orale venerdì!"
"E sticazzi?"
"Ma vaffanculo, prima o poi dovremo darla, coglione! Non capisci? Facciamoci spiegare tutto ora, che il ciuccio si ricorda! Altrimenti, dovremo fare tutto da soli! Capito, handicappato? Poi la daremo quando CAZZO ci pare! Pure l'anno prossimo! Ma intanto..."
"Ma intanto è GIUGNO e hai finito l'AntiNaja! GODITI L'ESTATE, CAZZO!"
Martedì 11 giugno: GESÙ CRISTO E I DUE LADRONI
E fu così che raggiunsi Nichel a scuola, in
aula M24.
Gran bel posto: gli M24 erano i gloriosi 8086 della Olivetti, con hard disk da 20 mega e 640k di ram, in letargo dall'ultimo appello di TAMC... cioè dal '94.
Il responsabile degli M24 era il vecchio
Nonno Berg, che ormai era in pensione... e adesso
la gente CI STUDIAVA SOPRA, SENZA accenderli, come fossero enormi gattoni acciambellati: facevano compagnia!
Ed il fantasma di Nonno Berg, ogni notte, gli cambiava la sabbietta e gli riformattava l'hard disk.
Logicamente, il più affezionato agli M24 era il Dio della lentezza,
MiOpìO,
che
stava ANCORA studiando
Geometria!
Massima stima.
Grip invece faceva Calcolo Numerico, però senza cadere dalla sedia... quindi tutto bene.
Mandingo aveva lasciato sul banco un quaderno aperto... e poi, come sempre, era andato a fare qualunque altra cosa, da qualunque altra parte.
GM e MisterBean (alias
La "coppia") avevano messo il turbo: col genio matematico di uno ed il metodo e l'ordine dell'altro, superavano qualunque esame (o quasi... avevano fallito LFC!) e stavano per affrontare Ricerca Operativa e Gestione Aziendale, per gli amici
ROGA.
L'unico a dare merda a tutti (studiando da solo e la metà delle ore) era
McLaud: look anni '70, capello lungo e sporco, fissava i quaderni con aria smarrita, dicendo che non capiva un cazzo e chiedendosi che cazzo ci stesse a fare ad Informatica. In tre anni, aveva dato più esami di chiunque altro,
aveva preso 31 allo scritto impossibile di
LFC e non c'era giorno in cui non dicesse che però non capiva un cazzo. Ormai eravamo abituati.
Ed infine,
Joco e Nichel!
"Ohu, è arrivato! - esclamò Nichel
- Dai, ficcati di qua, con Joco in mezzo. Vai! In coro! Spaccati il culo, spaccati il culo, parti per NAJA, parti per NAJA, bastone, bastone, rifai le brande, rifai le brande, onora i nonni, onora i nonni, scopa nel culo, scopa nel culo, bevi il piscio, mangia la mmmmerda..."
"Ecco... è tornato il TRIO MELODY..." sospirò McLaud.
"GESÙ CRISTO E I DUE LADRONI!" rispose MiOpìO.
E Joco, in mezzo a tutto questo, ci spiegava davvero Fisica1!
Mi sentivo di nuovo a casa.
FISICA 1 - SCHEMA DELLO SCRITTO
Tragedia in tre atti, volgarmente detti
"esercizi".
- meccanica: cose che spingono cose, cose che trascinano altre cose, molle, urti, proiettili, caduta libera e pulegge che girano, come le nostre palle. E cazzi, che entrano nel culo di Joco durante Naja. Qua bisognava sapere tante formule, cucinarle bene e sboccare i risultati [13 punti].
- termodinamica: completare UNA tabella usando UNA formula, che era sempre PV=nRT. Dove:
- P è la pressione
- V è il volume
- T è la temperatura
- n ed R sono due costanti, note a priori.
Infine, riportare i risultati su assi cartesiani P/V e rispondere a due domande elementari [13 punti]
- domande secche su un problema che Joco definiva "una cazzata" e "è impossibile cannare il terzo esercizio!" [però valeva solo 4 punti].
MAURO? ROGA!
Nichel ascoltò l'intera spiegazione in silenzio, poi commentò:
"Senti un po', ciuccio... se è tutto così una cazzata, come'è che per DUE VOLTE TI HA SEGATO?"
"Va be', VAFFANBAGNO! - strillò Joco
- Ho fatto solo errori di distrazione!"
"SHHHHHHH!" intervenne MiOpìO, che stava ancora cercando di studiare.
"Poi non fa tenere le formule... - continuò Joco sottovoce... e Joco che parla sottovoce è il suono più fastidioso che orecchio umano possa sopportare
- Bisogna usare i bigliettini e, con la poca gente che c'è, è un casino! Più che altro, per fare esercizi, procuratevi le soluzioni dei compiti vecchi! Le ha scritte Grip, però non sono male..."
"Ok, quindi le chiediamo a Grip?"
"No, mi sa che ce l'ha... MANDINGO!"
MiOpìO sorrise: era ritornato il silenzio.
No, stronzi, non c'è un cazzo da ridere: eravamo fottuti!!!
Poi, all'improvviso, la
"Coppia" si alzò.
"A domani, Mauro" disse GM.
"RRRROGA!" rispose Mister Bean.
"Basta, dai..." si lamentò flebilmente e sommessamente il buon
Grip...
ed era paradossale: dopo un giorno intero di CASINO,
Grip si lamentava ADESSO?
Nei nostri panni, voi cos'avreste fatto?
Anche noi!
"Mauro?" disse Nichel.
"RROGA!" risposi.
"Mmmmauro?"
"RRRRRRRROGA!"
"BASTA!!!" urlò Grip.
"Mmmmmmmauro?"
"RRRRRRRRRRRRRRRRRRRRRROGA!"
"Mmmmmmmmmmmmmmmauro?"
"BAAAAAASTAAAAAAAA!!!" strillò Grip, alzandosi in piedi, rosso in volto, con le mani sulle orecchie, gli occhi chiusi ed urtando ed inciampando in qualunque cosa nel raggio di un universo parallelo quadrato, mentre l'intera aula lo prendeva per il CULO e RIDEVA!
E, in tutto questo,
Joco stava COMUNQUE andando avanti a studiare... ed erano le sette, cazzo!
Quindi, per il suo bene, gli chiudemmo il quaderno e lo caricammo a forza sul 2, mentre emetteva suoni disarticolati, in probabile formato Amiga.
DUKE NUKEM 3D
Solitamente, il 2 era strapieno di pheega, ma attorno a noi c'era sempre TERRA BRUCIATA. Chissà perché!
"Ciuccio! - disse Nichel
- Se passi l'orale, andiamo a casa tua a
PRAGELATO!
Capito? Spaccati il culo, rifai la branda, mangia la mmmerda..."
"Boh... - mormorò Joco
- Pragelato? Mah... sì..."
"L'HA DETTO!!! - urlò GM
- ORMAI NON TI PUOI PIÙ TIRARE INDIETRO!"
"Ma vaffanbagno... se finisce quest'incubo, andiamo dove cazzo volete!"
"Andiamo a... San MMMMMAURO?"
"RRRRRRRRRRRRRRRRRRRRRROGA!"
"BAAAAAAAASTAAAAAAAAAAAAAAAAAAAAAAA!!!"
Per la gioia di Grip, feci qualche fermata in più ed
accompagnai GM a casa! Gli era appena arrivato
un CD pieno di giochi e
non aveva tempo di provarli tutti, così mi aveva chiesto aiuto: voleva un indice ed una minirecensione.
Era un porco lavoro, ma qualcuno lo doveva pur fare. No?
Arrivato a casa, esplorai il CD: ero a caccia di
labirinti 3d alla
Doom!
Il fantasy
"medievale", tipo
Heretic
ed
Hexen, aveva rotto il cazzo.
Descent, che ruotava a 360 gradi, era spettacolare, ma anche ingiocabile.
Ken's Labyrinth era giocabilissimo, ma la grafica faceva CAGARE.
Oh, finalmente ne trovai uno nuovo:
Duke Nukem 3D,

sembrava una
parodia SPLATTER!
Era... una... FIGATA!!!
La partita iniziava col protagonista che diceva:
"Your face, your ass... where's the difference?".
Poi ruttava e sparava.
Lo scenario erano palazzi crollati, bruciati e allagati, contemporaneamente!
Però pieni di alieni da ammazzare a fucilate.
I nemici erano l'unica pecca: troppo impersonali... ormai non si ammazzava più la gente vera, come ai bei tempi di
Wolfenstein3d.
Per il resto, la grafica era incredibile: mi
girava FLUIDO ad 800x600... e c'era anche la mappa dall'alto, fatta da Dio.
Da segnalare il
cinema porno con dentro le troie e, soprattutto,
i CESSI: pisciandoci dentro oppure
SPACCANDOLI a CALCI e bevendo l'acqua, salivano i punti salute!
Anche le armi erano meravigliose: c'era lo
"shrinker", che rimpiccioliva i nemici (che poi si potevano calpestare), ed il
"freezer", che li congelava (e poi si spaccavano a pugni).
Ogni tanto, il protagonista
STACCAVA la testa alla gente che ammazzava e poi ci CAGAVA DENTRO, leggendo il giornale e fischiettando!
Era il gioco più bello della storia dell'umanità.
Insomma, ci avrei giocato tutta la notte... poi mi accorsi che
si bloccava al secondo livello, perché in realtà era una DEMO!
Fankulo, avevo uno scopo nella vita: trovare il gioco completo!
Altro che Fisica1.
Martedì 18 giugno: GITA A PRAGELATO!
Squillò il citofono ed una voce urlò:
"FINANZA!"Come ai vecchi tempi.
Sotto
le scale, GM aspettava, ancora un po'
addormentato; e, dalla sua 128
verde, mi trovai di colpo a fissare
l'incubo: il gorgo grigio triste e spento
che portava la gente a lavorare
e ci avrebbe ucciso... ma non oggi! Il vento
ci avrebbe ancora aiutati a scappare e...
"OHU! STAI ANCORA DORMENDO?" urlò GM.
"Quasi..." risposi.
"Ma l'orale di Joco? Alla fine sei andato a vederlo?"
"Col cazzo... era al mattino. Però è andato bene, gli ha confermato il 28!"
"Buono! Ha pure dato Fisica prima di noi! E adesso è a posto per Naja, no?"
"NØ! È il primo esame che dà quest'anno... ne servono due!"
GM sospirò, poi però vide la sagoma di
NICHEL
che scendeva dal 40 e sorrise: l'handicappato
ce l'aveva fatta, era arrivato da Joco in PULLMAN senza finire a "Chi l'ha visto"!
Ok, il gregge era al completo:
scattava la missione PRAGELATO!
Citofonammo a Joco... e
non rispose NESSUNO.
Strano: il gancio era alle 8... ed erano solo le 9!
"Ohu! - disse Nichel
- Non è che non c'eravamo ed è partito?"
Un suono flebile, acuto e disarticolato fece vibrare le fessure del citofono... fino a prendere forma:
"Ma vaffanbagno...
Cazzo ci fate qua?"
"È MARTEDÌ, CIUCCIO! SI PARTE!!!"
"Eh? Uh? Ma... è presto..."
Lasciammo ogni speranza ed entrammo in QUELLA stanza in cui ogni settore violava le più elementari leggi di Fisica1.
L'unica luce era la spia del monitor Amiga ed era una richiesta di aiuto: tra le giungle di cavi (Amiga), i cumuli di riviste (Amiga) e le pile di dischetti (Amiga), non esistevano rischi di crolli, ma solo certezze.
In tutto ciò, una larva animale camminava sulle frattaglie a quattro zampe e, di fianco, c'era un
gatto,
che voleva solo dormire. Quindi, balzò sul grande pulsante rosso EJECT... e ci ritrovammo fuori, sulla
Jocomobile! FINALMENTE!!!
Arrivammo a Pragelato che era l'alba, mezzogiorno, e stavolta
Alien
non c'era... per fortuna! Così okkupammo casa Joco, di cui abbiamo tre diapositive.
"Minchia che sole! - diceva Nichel
- Minchia arrivo abbronzato allo Scienùùùù!"
"Ma a 'sto cazzo di Chez Nous hai mai trombato almeno UNA volta UNA pheega?"
"Meeemé iate affangù! Cazzo ne volete sapere voi di figa?"
"Il doppio di te: ZEEEEEEEEEEERO!"
"Minchia parlate voi che uscite con MANDINGO! TERRA BRUCIATA!"
"Ohu, a proposito di Mandingo... - chiese
Joco
- Ma gli appunti di Grip?"
"Li ha PEEEERSI!"
"CHE COSA??? - urlò GM
- Ma DAVVERO? Ma no, ma dai... ma in che CASINO vive? Cioè, lo so che non lo fa apposta, però fottiti! Se fossi Grip, MANDINGO sarebbe DISINTEGRATO!"
"Io ho elaborato un progetto ben preciso per uccidere Mandingo! - disse Nichel
- Gli montiamo due cannoni, uno davanti e uno dietro, caricati a SFIGA, uno con Joco e l'altro con Spranga, e glieli spariamo contro contemporaneamente. Nel frattempo, da altre due direzioni, gli lanciamo contro Alien e MiOpìO e, nel caso non bastasse, gli spariamo dall'alto con il cannone al plasma di Budo. Se non muore così non c'è niente da fare!"
"Bello! - commentai
- Però usiamo anche le armi nuove di Duke Nukem 3d: il miniaturizzatore, il congelatore..."
"A proposito... - aggiunse GM
- Ho due notizie: una buona ed una cattiva!"
"Mh... parti dalla buona..."
"Ho trovato uno che ha la versione completa di Duke... e me la porta!"
"GRANDE!!! E quella cattiva?"
"È MANDINGO!"
In quel preciso istante, il sole si oscurò... era ora di tornare a casa.
Sabato 29 giugno: I PRESAGI
Nel giro di pochi giorni, ogni cosa che poteva andare storta andò peggio.
A CHIUNQUE!
Per farsi perdonare, Mandingo aveva mobilitato mezza scuola ed alla fine aveva trovato un tizio che si era fatto le fotocopie degli appunti di Grip, prima che andassero persi. E ce li avrebbe portati lunedì!
Quindi,
a Grip stava quasi per passare l'incazzatura... poi diede Calcolo Numerico (che studiava da MESI!) e fu
SEGATO, senza pietà.
Intanto, però, continuavano i gesti riparatori di Mandingo: portò DAVVERO a scuola
la versione completa di Duke Nukem 3d, salvata su CD!
FIGATA, cazzo!!!
La prese in consegna GM e quel sabato lo raggiunsi a casa.
"Allora! - dissi
- Com'è Duke Nukem?"
"Una MERDA!"
"Eh? In che senso? Non ti piace come han fatto gli alieni, vero?"
"No, non si installa! Dà errore al penultimo disco!"
"Al penultimo disco? Ma Mandingo non ti ha dato un cd?"
"È un'installazione di 20 floppy salvata su CD-ROM e..."
"VENTI DISCHETTI? Ne ho solo dieci, cazzo!"
"Eh... tanto non funziona: al 19 dà errore! Ho anche provato a pulire il cd, ma non è quello: è
corrotto
il file! Ho già telefonato a Mandingo... e non l'ha presa bene: quel CD è il backup del suo hard disk! Non so chi gliel'ha fatto, ma è sminchiato... e lui non se n'era accorto, perché, per fare le cose in fretta, come fa lui, non ha provato a reinstallare nulla. E figurati che ha già cancellato i file dall'hard disk! Quindi è FOTTUTO!"
In fondo era giusto così, perché
Mandingo era nato DEMONE:
se provava a fare qualcosa di buono, Dio gli BRUCIAVA i settori dei CD.
E va be', nient'altro poteva andare male: era estate!
Quella sera andai a bere con la Cumpa e
c'eravamo tutti, come sempre, ad
ubriacarci di libertà!!!
"Minchia, io faccio il CAZZO che mi pare! - diceva Spud
- Tanto ai miei non gliene fotte un CAZZO. L'altro giorno mio padre ha letto il
'Back to Ronco' e..."
"CHE COSA???"
"Me l'ha beccato, sì. Lo tenevo in macchina e gliel'ho fatta portare dal meccanico. E dopo mi voleva fare un discorsetto...".
"Ma CAZZO!!! E tu?"
"E io gli ho fatto leggere le altre storie che non aveva trovato... tipo
'Festone a casa di Andy'! Non ha più detto niente!"
"SPUD!!! MA... SEI FUORI?"
"Ma va... Minchia, mio padre è sessantottino, cazzo vuoi che gliene fotta?"
Nessuno di noi lo poteva immaginare, ma la stagione della Cumpa si era appena troncata: corrotta per sempre, come i file di Mandingo!
E adesso, come nella migliore tradizione, arrivavano i cazzi.
Lunedì 1 Luglio: DICHIARAZIONE DI GUERRA
Quel mattino mi alzai come sempre all'alba, mezzogiorno... e poi mi incamminai verso la scuola, pronto ad accogliere la guida galattica di Grip!
Non feci in tempo a conoscere il salvatore delle fotocopie, perché si era già volatilizzato! Comunque, la GripPedìa c'era e si rivelò eccezionale: c'erano QUATTRO ANNI di vecchi appelli di Fisica svolti, passaggio per passaggio... a partire dal 19/1/91 fino al 20/7/95, quando l'aveva passato lui!
I risultati coincidevano sempre con quelli lasciati in biblioteca dalla prof, mentre per i passaggi intermedi, ahimé, dovevamo fidarci di Grip... ma il pericolo era il nostro mestiere.
Comunque, metafotocopiate le fotocopie e cazzeggiato su Internet, tornai a casa... appena in tempo per trovare una ghiotta perla in segreteria!
Chi ha letto la prima stagione sa già tutto: era il primo luglio del '96!
Per gli altri, allego un breve e romantico riassunto delle puntate precedenti, con tanto di contributo audio (e trascrizione, per i cultori della carta stampata).
"Ehm... Mahrhokko... eh... pron... eh... io sono la mamma di Spud, quando viene la mamma di Mahrhokko mi fa chiamare? Fa chiamare Spud che io voglio pahrhlahre con la mamma del... di Mahrhokko. La ringrazio!"
(mammaSpud, 1/7/1996)
Martedì 2 Luglio: OSTILITÀ
Per i nostalgici, faccio anche la grafica uguale! Contenti?
Comunque,
il padre di Spud aveva portato tutti i nostri racconti al commissariato di Rivoli (avrà trovato anche il quaderno originale di Grip?).
Ecco un riassunto di quei racconti in quattro righe:
"Spud obiettò che farsi un altro
flash era un po' pesante, ma
Begbie gli rispose: 'Pesante sarà tua
madre, che ha la figa lorda!'"
(nella stampa originale, c'erano i nomi VERI, non i nickname!)
Poi aveva chiamato Beat e gli aveva chiesto:
"Ma quindi mio figlio... si DROGA?"
E
Beat aveva risposto:
"Non so, era buio, non vedevo..."
Per evitare che la Voce della mia Coscienza venisse al corrente di tutto ciò, mi toccò passare i giorni successivi a fare da firewall e prendere tutte le chiamate, barricato in casa! Quindi,
la mamma di Spud le telefonò in UFFICIO, facendosi dare il numero dalla mamma di Beat!!!
E
mia mamma, semplicemente,
la mandò affankulo.
Da quel momento,
potevo di nuovo uscire di casa... e quindi feci un salto a scuola, a controllare se esistesse ancora.
Venerdì 5 luglio: LA RICOSTRUZIONE
Grazie al passaparola, al Parco dei Diversamente Figati CHIUNQUE sapeva che i nostri racconti erano finiti al Commissariato... e che io ero in GALERA!
Secondo Mandingo, mi avrebbero anche annullato
Analisi2,
perché c'era scritto che l'avevo COPIATA... e quindi
sarei partito per NAJA!
"Ma è VEEEEEEEERO che parti per NAAAAAAJA!!!"
La voce della mamma di Spud (convertita in eseguibile per DOS su PcSpeaker grazie al Voc2Exe)
era diventata una hit... e lei stessa divenne una figura mitologica: c'era gente che mi chiedeva di scrivere una saga fantasy in cui doveva uccidere Mandingo!
Però la cosa più assurda era che
NESSUNO voleva sparire dai racconti... anzi, c'era gente che mi chiamava per paura di essere cancellata!
Su una cosa eravamo tutti d'accordo: da oggi,
nomi propri FANKULO!
Per Andy, Giovi, il Pazzo, Joco, Killer, Mandingo, McLaud, Mingo, MiOpìO, Napalm e Niger non sarebbe cambiato nulla: si chiamavano già così, problema risolto.
Per gli altri
bisognava inventare dei nick... e noi avevamo tantissime altre cose da fare!!!
Non a caso, nacquero subito i primi quattro:
- "Nichel", perché era TARRO e stava a Nichelino.
Avremmo potuto chiamarlo "Chez Nous", ma ci facevano causa.
- "Grip", perché nei giochi di macchine vuol dire "Tenuta di strada"... e lui inciampa e sclera! E poi inciampa di nuovo.
- "GM" da "GM Software", la sua firma nei giochi.
- "Mister Bean",
per i motivi illustrati dalla seguente diapositiva.
"Handicappato! - disse Nichel
- Ma alla fine che cazzo fai? La vuoi dare con noi?"
"Che cosa?"
"FISICA, minchia!"
"Eh??? Ma tu veramente stai studiando?"
"Certo! Siamo io, GM e MisterBean, faccio il terzo della Coppia! Se lo passiamo, diamo l'orale a gennaio... e vale come AntiNaja per il '97! E in più abbiamo Joco!"
"JOCO??? Ma... non studia per l'AntiNaja? Cazzo era, poi? Calcolo?"
"Ma va'! Passa il giorno a spiegare a noi! È una figata, ti insegna tutto passo passo... è un bravo ciuccio!"
Joco sarebbe TROPPO partito per Naja!
Cazzi GIGANTI, caserma PUNITIVA!!!
"Oh, guarda che è venerdì prossimo! Sei ancora in tempo, non ha ancora levato le iscrizioni! Capito, handicappato? Muoviti, torniamo a rompere il cazzo a Joco! Spaccati il culo, spaccati il culo, parti per NAJA, parti per NAJA, bastone, bastone, rifai le brande, rifai le brande, onora i nonni, onora i nonni, scopa nel culo, scopa nel culo, bevi il piscio, mangia la mmmmerda!"
Venerdì 12 luglio: CONTRO OGNI LOGICA
Quel venerdì mi alzai alle otto del mattino... perché ero veramente un coglione:
come cazzo potevo pensare di passare uno scritto in SEI giorni?
Non ero neanche agitato: persino l'Ansia mi aveva mandato affankulo... per non parlare di Nerina e del Pentium.
Però avevo avuto un'idea geniale: anziché fare i bigliettini,
avevo scritto le formule sul lato B del mio righello... CRITTOGRAFATE!
Per l'idea dovevo ringraziare Mamma Spud: se la prof mi avesse beccato, non avrebbe potuto dire nulla, perché NON erano formule di Fisica! Erano messaggi alieni. Li stampano così i righelli, non lo sa? Si informi!
Comunque, l'aula era mezza vuota, ma ci configurammo secondo copione:
GM e
MisterBean in terzultima fila, la penultima vuota antisgamo ed in ultima
Nichel ed il sottoscritto.
Poi la prof entrò, ci guardò, ci skifò e ci disperse nei quattro posti più LONTANI tra loro! E lo scritto poté iniziare.
Il
secondo esercizio era davvero facile: il disegno l'aveva già fatto lei ed era un rettangolo!
Allego scansione della brutta.
Al fondo, chiedeva
η (
il rendimento) ed
S (l'
entropia).
Quindi, trovai le quattro temperature con
PV=nRT, calcolai l'area del rettangolo, ricopiai dal righello le formule del rendimento e dell'entropia, FINE!
13 punti in 13 minuti!
Poi passai all'
esercizio tre, che era geometria: dato il modulo ed il prodotto di due vettori, trovare l'angolo che li separava e le loro
"espressioni possibili", tipo Mai dire Gol.
Boh, applicai le formule, feci il disegno e vaffankulo, vettori di mmmmerda.
Ok, eravamo a
17 punti... un passo dalla vittoria!!!
E adesso entravano i cazzi: bisognava ALMENO iniziare il primo, in maniera che non lo contasse zero! Vediamo un po'...
"Sotto l'azione della forza F, applicata attraverso una fune che forma con un angolo (testuali parole!) di 30 gradi rispetto all'orizzontale, un corpo di massa m=1400 chili in 20 secondi varia la sua velocità da 0 a 10.4 m/s."

- calcolare l'intensità della Forza.
Proviamo: |F| è Forza parallela fratto cosθ.
F// è massa per accelerazione, a = Δv/Δt, θ = 30°. Quindi:
|F| = m Δv/(Δt cosθ)
- se la fune fosse orizzontale, applicando la stessa forza, quale sarebbe, sempre partendo da fermo, la velocità del corpo dopo 20 secondi?
vf = a t, a = |F|/m... quindi:
vf = t |F| / m
- se il piano fosse scabro, con μ = 0,05, quanto tempo dovrebbe passare, in questo secondo caso, perché il corpo raggiunga la velocità finale?
È la stessa formula! Devo solo sottrarre la forza di attrito:
t = vf m / (|F| - m g μ)
- con la forza inclinata di 30° rispetto all'orizontale (con una sola z) ed il piano scabro, sempre con μ = 0,05, quanto tempo deve passare perché il corpo raggiunga la velocità di 10,4 m/s?
Fankulo... tutte le formule di prima, però mischiate:
t = vf m / (F// - m g μ + |F| μ senθ)
Basta, stop, finito!
Cazzo... era lo scritto più FACILE del mondo,
avevo studiato SEI GIORNI ed avrei preso TRENTA!!!
Diedi una controllata veloce ai calcoli, ma comunque venivano cifre esatte... quindi era giusto.
Boh... consegnai e sbirciammo i risultati.
"NO, CAZZO! - esclamò
GM - Ho cannato il finale del primo! MA PERCHÉ???"
"Eh, pure io mi sa..." gli fece eco
Mister Bean.
"Mah, anch'io ho sbagliato qualcosina... - commentò
Nichel - Però, dai..."
"Fa' vedere pure a me!" dissi, pregustando il TRIONFO.
Eravamo al 100%: avevo...
CANNATO...
TUTTO!!!
Tutti i calcoli che potevo sbagliare LI AVEVO SBAGLIATI!
Ero il
NUMERO UNO di tutti i COGLIONI dell'UNIVERSO!!!
Mandai tutti affankulo e me ne andai a casa.
E mi aspettava una NUOVA sorpresa in segreteria.
THE CINGHIA STORY
La voce registrata era di Jena il rollatore e recitava testuali parole:
"Marok... Marok... Marok... mi sono CINGHIATO un gomito! Sigh sigh! Sigh! Porco bìp, che sfiga di merda! E va be', ci sentiremo un'altra volta! Fottiti!"
Non riuscivo a crederci...
le maledizioni della mamma di Spud erano arrivate!
Chiamai subito
Jena, che mi confermò tutto:
si era spaccato un gomito giocando a calcetto!
Riassumendo: nella Cumpa
eravamo rimasti in quattro... e
l'unico dei quattro che guidava e rollava si era spaccato il gomito!!! Perfetto.
"Fankulo! - sbraitava Jena
- Te lo dicevo già a Capodanno e lo confermo oggi! Questo è un anno di MERDA! Minchia, ho fatto la varicella, ho un braccio spaccato..."
"Be', pensa al '97, che sei a Naja..."
"Ma vaffankulo!!! Guarda, sono contento solo di una cosa... cioè che, tra pochi giorni, partiremo per le vacanze... ognuno per i cazzi propri, ognuno in un posto diverso... ma tutti affankulo! Capito? AFFANKULO!"
Per completezza d'informazione, vi rivelerò che
Jena subito dopo si sarebbe spaccato anche l'altro braccio. Ed allego due simpatiche diapositive che bastano, da sole, a raccontare la mia estate del '96.
Lunedì 2 settembre: IO HO FATTO TAC E TU NO
Quel lunedì mi alzai come sempre all'alba, mezzogiorno... ed ero felice, perché in un mese avevo fatto SOLO tre cose:
Date le premesse, pensavo che nessuno, in nessuna parte del mondo, potesse aver vissuto un agosto più inutile del MIO, finché
Joco
non iniziò a raccontarmi le sue vacanze.
Prima in Sardegna, in una casa
SENZA CORRENTE ELETTRICA e
col FRIGORIFERO a GAS.
Poi
in CAMPAGNA in SICILIA, nel BARICENTRO della Sicilia, il
punto più lontano possibile dal mare!
Ai suoi piaceva tantissimo.
E adesso gli restava un trimestre per passare
CALCOLO...
altrimenti partiva per NAJA!
Anche
MiOpìO era reduce dalla Sardegna, però non aveva beccato Joco, perché non l'aveva VISTO!
Però ero fiero di lui: aveva duellato contro i tarri napoletani sparando a palla la mia cassettina dei
Farinei ed aveva passato Geometria!
Non necessariamente in quest'ordine.
A proposito di tarri, il caro vecchio
Nichel,
in un mese a Follonica, aveva trapanato il doppio delle pheeghe che avesse mai trombato allo Chez Nous! Oppure il triplo, è uguale.
Però era l'unico in pace con le fatiche di Fisica, perché a luglio, udite un po',
era stato il MIGLIORE: 25!
GM si era fermato a 23,
MisterBean a 20... e gli faceva SKIFO!
Quindi, entrambi
avrebbero ridato lo scritto con me... che, modestamente, avevo preso 17! Per la cronaca, ad Agosto erano andati in due posti diversi... e si erano entrambi rotti il cazzo.
L'unica estate decente, forse, l'aveva vissuta
McLaud: era andato in
Portogallo coi suoi amici e non parlava d'altro!
Quella PEGGIORE, invece, era sicuramente toccata a
Mandingo:
si era sparato
due settimane in montagna coi "bambozzi" della parrocchia... e adesso lanciava fulmini e saette ogni volta che qualcuno parlava di vacanze.
"Ah! - aggiunse Mandingo
- Sapete che il 30 luglio ho fatto TAC?"
"Eh??? E che cazzo è?"
"Teoria degli Algoritmi e Calcolabilità! È la teoria che sta dietro allo Scheme..."
"Ah, sì... - risposi
- Io non ce l'ho, devo dare TIT, cioè Teoria dell'Informazione e della Trasmissione! È quella che al Poli chiamano Teoria dei Segnali e..."
"Devi dare TIT??? - Mandingo sbiancò ed iniziò a fumare dalle orecchie
- Ihihihihihiiiiiiiiii! NON TI PASSERÀ PIÙÙÙÙ!!! Per dare TIT devi aver dato ANALISI2, FISICA2 e CPS! E poi comunque... TI SEEEEEEEEEEGA!!!"
E poi, soddisfatto, si girò, piedi a papera... e se ne andò.
Dopo un po', apparve
Spranga,
che era il mio eroe: continuava a prendere mazzate e ad andare avanti, sempre!
Dopo il primo anno,
era partito per Naja; poi però aveva scelto di tornare ad Informatica e recuperare... ed
erano FINITI gli appelli di Sistemi1! Quindi, gli avevano detto di dare TRE esami del Nuovo Ordinamento per vedersene riconoscere UNO! E lui l'aveva fatto.
In compenso, però,
aveva "vinto" Analisi1: al posto della vecchia prof, che era andata in pensione, era arrivato un tale che chiamavano
Mondonico,
che
al primo appello aveva fatto una SANATORIA, regalando l'esame a tutti!
"Ohilà! - disse
- com'è Fisica? La farei anch'io, però sono del corso A..."
"Non c'è più la divisione, Spranga! Siamo gli SCARTI del Vecchio Ordinamento, tutti gli appelli degli esami del primo anno, se esistono ancora, sono a corso unico!"
"Sul serio? Allora, quasi quasi... Dai, la faccio anch'io con voi!"
"A 'sto punto, mi aggiungo anch'io!" disse
MiOpìO.
Sììììììì!!!
Studiare con MiOpìO era il mio sogno da SEMPRE: era il dio della lentezza, l'unico al mondo che
non era riuscito a finire il test di Naja perché
era troppo lungo!
"Ehilà! - disse una voce
- È bella Fisica1?"
Scattò l'applauso:
era riapparso
BUDO!
"Arrivo dall'INDIA! - disse
- E vi do un consiglio: NON ci andate! Mi ha punto un insetto e mi si è quasi distaccata la retina. Però ho passato lo scritto di Analisi1, ma è stato un incubo: è cambiato il profio! Questo qua lo chiamano Mondonico ed è severissimo! Ce l'ho fatta solo perché ho avuto dei lampi di genio. Posso fare Fisica con voi?"
Pensavamo di avere già mandato l'assurdo in overflow, quando
apparve il
PAZZO
e tolse il turbo:
"Facciamo FISICA?"
Il Pazzo voleva dare un esame!!!
Era l'APOCALISSE.
Tranquilli, nessuno di noi combinò un cazzo fino alle sei di sera, quando arrivò Mandingo e disse:
"Comunque è VEEEERO che vi SEEEEEGA!!!"
Bombardammo Mandingo di raggi sfiga e ce ne andammo affankulo.
Martedì 3 settembre: MENO NOVE
Quel martedì mi alzai come sempre all'alba, mezzogiorno, ed ero pronto a studiare. Poi trovai
nel dehors del Baffo tutti i diversamente figati che
prendevano per il culo Joco, parlando SOLO di Naja... era destino!
Avendola già fatta, Spranga e
Budo
erano i sopravvissuti alla peste con l'epidemia in corso: ne portavano i segni ma non la paura; le persone giuste nel posto giusto!
"All'inizio è DURISSIMA!"
"Ti devi SPACCARE IL CULO!"
"Marciare all'alba!"
"Strisciare nel fango!"
"Correre per ore!"
"Sollevare pesi!"
"Io magari no... - disse Joco
- sono ABILE DI QUARTA!"
"NON ESISTE abile di QUARTA! C'è prima, seconda e terza, che già sei mezzo handicappato... se no ti riformano!"
"Ti giuro, abile di QUARTA!"
"Ma non si è mai sentito da nessuna parte! Che CAZZO vuol dire?"
"Vuol dire che SONO HANDICAPPATO, ma PARTO PER NAJA LO STESSO!"
Joco era una categoria a parte: era fuori scala rispetto al genere umano.
"Comunque...- continuò Spranga
- I primi mesi sono uguali per tutti: devi fare il CAR e lì ti spacchi il culo! Però poi ti abitui. E impari tante cose nuove..."
"Ma vaffanbagno! - si lagnava
Joco
- Che cazzo vuoi imparare?"
"Io ho imparato a pilotare il missile FILOGUIDATO - rispose Budo
- Resta collegato alla base con un filo, così non hai interferenze radio!"
"Io ho imparato a tirare col MORTAIO! - continuò Spranga
- Serve quando devi bombardare un obiettivo al di là di una montagna. È divertente, perché il primo colpo lo spari a caso, poi mandi in cima alla montagna un povero sfigato, chiamato ufficiale osservatore, a vedere cosa hai colpito. Quello ti farà segno di andare un po' più a destra o un po' più a sinistra... e tu continui a sparare altri colpi finché non lo becchi!"
Erano SERISSIMI: due attori nati! Oppure ci credevano davvero... paura.
"Sentite un po'... - chiesi
- A che ora ci si alza a Naja?"
"Di norma alle sette! Però, se hai mansioni particolari, anche prima..."
"MINCHIA PORCA TROIA VAFFANKULO!!!"
"Minchia, te sei uno SCANDALO,
Marok!
- commentò MiOpìO (che era riformato!)
- Non puoi alzarti sempre all'una! Non dico studiare, ma fa' qualcosa!"
"Tipo?"
"Tipo comprati dei vestiti, cazzo! Sembri un barbone! E fa' un po' di sport, hai vent'anni e hai la pancia di un quarantenne!"
Firmato: MiOpìO.
"Eh, hai ragione! - risposi
- Che cosa mi consigli?"
"Fai come me: trova il tuo sport! Io per esempio gioco a BASKET!"
Persino Spranga chiuse gli occhi e cercò di ridere da ventriloquo... ma fu inutile: impazzirono tutti!
"OH, CHE CAZZO RIDETE? GUARDATE CHE È VERO! IO
HO FATTO PARTE DI UNA SQUADRA DI BASKET E..."
MiOpìO era un grande, perché ci credeva sul serio! E l'ondata travolse tutti: il dehors, il Baffo, i passanti... fino alle zoccole della Pellerina.
Ci spostammo in aula M24 per studiare, ma ormai tutto il giorno finì nel CESSO... con Joco di fianco, disperato.
"Ciuccio, si può sapere che cazzo è che non capisci?" chiese Nichel, mosso a pietà.
"Ma vaffanbagno... TUTTO! Da stamattina ho provato a fare QUATTRO esercizi... e non me ne viene neanche UNO! Qua c'è questa derivata e non dice come si fa..."
Fresco di Analisi1,
Spranga si sedette vicino a Joco e, in due passaggi, RISOLSE l'esercizio. Non un genio... SPRANGA!!!
E tutti in coro:
"Spaccati il culo, spaccati il culo, parti per NAJA, parti per NAJA, bastone, bastone, rifai le brande, rifai le brande, onora i nonni, onora i nonni, scopa nel culo, scopa nel culo, bevi il piscio, mangia la mmmmerda!"
Insomma, fu una bella giornata.
Mercoledì 4 settembre: PERCHÉ PERCHÉ?
Quel mercoledì mi alzai come sempre all'alba, mezzogiorno, e trovai
Nichel completamente fuso, perché
stava iniziando Analisi2: non aveva neanche l'energia per fare casino.
Il Pazzo, al contrario,
era il vero flagello di Dio!
Quando andava bene,
cantava Elio... e faceva da sottofondo.
Quando andava male, iniziava a parlare di
mutazioni hardware ed incroci splatter tra processori 486, eprom Amiga, frattaglie di schede video e non c'era verso di spegnerlo neanche a mazzate.
Quello messo peggio però era
Spranga, perché studiava sul MIO quaderno!
"Marok, ma scrivi velocissimo! E bene! Non si direbbe..."
"Perché non si direbbe?"
"Lasciamo perdere... piuttosto, com'era la formula del secondo esercizio?"
"PV=nRT"
"E PERCHÉ?" chiese MiOpìO.
"Eh? È la formula! C'è anche sul libro, guarda..."
"Sì, ma PERCHÉ???"
"Perché è la formula! Forse c'è la dimostrazione, ma... chi CAZZO se ne fotte!"
MiOpìO sbuffò e prese il libro, mentre la mano fortunata di Spranga pescò a caso un vecchio scritto, datato
16/7/93.
Iniziammo dal
secondo esercizio, che in teoria dovrebbe essere

facile... e stavolta invece era un casino!
Comunque, alla fine venne a tutti... pure al Pazzo.
Il terzo invece era un'analisi dimensionale... ok!
Ora anche MiOpìO era pronto, toccava all'esercizio stronzo, il
primo!
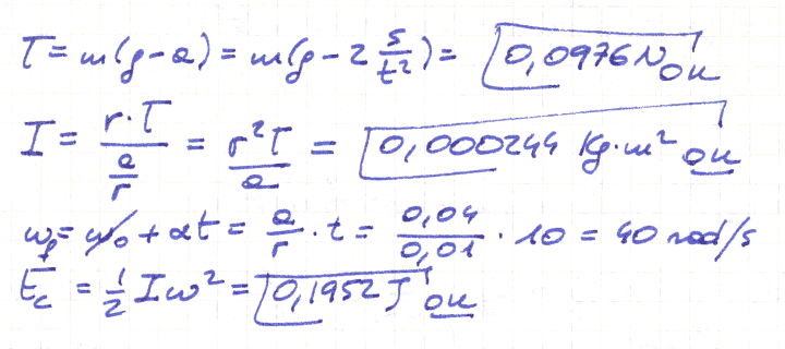
Chiedeva di
calcolare l'Energia Cinetica
di una ruota di raggio 0,1 a cui era legato un peso di massa 0,01, che cadeva per 2 metri in 10 secondi.
Tracciai velocemente uno schema e cercai le formule, mentre
MiOpìO ricopiava il testo parola per parola e disegnava con matita e righello!
"Dopo la virgola, a che cifra bisogna approssimare?" chiese MiOpìO.
"Boh, alla seconda... Anche se nei risultati spesso ne mette una sola!"
"Ma non è impreciso? Cioè, se io ho 20.00555..."
"Scrivo 20 e me ne strafotto il cazzo..."
Ora, come tutti senz'altro sapete, l'Energia Cinetica è
½Iω2,

dove
I è l'
inerzia ed
ω la
velocità angolare.
In questo caso, salvo errori:
ω = 40
I = 0.000244.
Sì.
MiOpìO l'ha fatto.
Davvero.
Ha approssimato DAVVERO alla seconda cifra, perché gliel'avevamo detto noi: ha scritto
I = 0! E quindi, pure l'
Energia Cinetica gli veniva ZEEEEEEEEEEEEEERO!
"Minchia, MiOpìO ma... sei fuori???"
"PERCHÉ? PERCHÉ???"
Quella sera
nacque la prima vera canzone di MiOpìO.
Liberamente tratta da
"la Locanda", da
"I promessi sposi" di Lopez/Marchesini/Solenghi
(che in realtà era una cover della
"Filanda" di Milva,
anche se non lo poteva sapere nessuno) ecco a voi...
"Perché perché"!
Tutti in coro, mi raccomando!
PERCHÉ PERCHÉ
(Marok, GM, Joco, Nichel, Pazzo)
Perché perché
son nato handicappato
e lento e cecato
perché perché perché?
Perché perché
per ogni esame che voglio dare
due o tre anni dovrò studiare
perché perché perché?
E sono un campione a basket,
sono basso grasso cieco e lento,
sono proprio un portento e...
fate come me!
Venerdì 6 settembre: JOCO E PIÙ JOCO
Quel venerdì mi alzai come sempre all'alba, mezzogiorno, ed ero sereno.
Perché perché?
Così...
mancavano sei giorni all'ora X e non me ne fotteva più un CAZZO, tanto non sarei partito per Naja.
Così, mi incamminai lentamente fino a scuola e trovai, udite udite...
Lyde!
Non lo vedevo da MESI e adesso era in piedi, da solo, di fronte alle macchinette del caffé... e
giocava con uno YoYo!
Era imbarazzante.
"Marok! - disse
- Come va col commissariato?"
"Bene, rispetto a Fisica! E tu con Analisi1?"
"PASSATA! Non te l'avevo detto? L'ho fatta col profio nuovo: Mondonico! Mi stava pure per SEGARE! Per fortuna ho terminato con l'assistente, che mi ha chiesto se avessi seguito il corso... e io ho risposto di sì, anche se NON ero MAI andato neanche una volta a lezione! E mi ha dato 24!"
La sanatoria della sanatoria, cazzo! Ai miei tempi, Informatica era una cosa seria... sta a vedere che
ero L'ULTIMO ad essersi fatto il culo per dare Analisi1!
E va be', però in Aula M24 ci aspettava un altro grande ritorno:
Grip!
Aveva l'appello di Calcolo Numerico in un giorno fortunato:
venerdì 13!
E studiava da solo.
"Joco! - dissi
- Perché non fai Calcolo con Grip?"
"Perché lo do col corso A, che è più facile..."
"Eh??? Come cazzo fai?"
"Ma sì, ma figurati se vanno a guardare..."
"E quand'è lo scritto?"
"Boh, sarà col B..."
"Aspetta... vuoi dire che non hai neanche controllato gli appelli? Minchia ma sei fuori? Li stanno togliendo, siamo del Vecchio Ordinamento, cazzo!!!"
Seppur recalcitrante, il ciuccio si alzò e andò a consultare i tabelloni... e
SOLO ALLORA si accorse che non era indicato nessun appello per il corso A.
Si STRAMERITAVA la NAJA, cazzo!!!
"Boh... - disse
Joco
- Vado a parlare alla profia, magari si è dimenticata..."
I
"due ladroni" accompagnarono Gesù Cristo.
E la prof, col massimo candore, rispose:
"Non ci sarà più NESSUN appello per il corso A del Vecchio Ordinamento. Siete un po' fuori tempo massimo, non credete? Dovete dare due moduli col Nuovo Ordinamento, ma non vi so dire quando, non sono io a tenere il corso!"
Sì: Joco si era spaccato il culo per UNA SETTIMANA sulla
materia SBAGLIATA!!!
"Va be', non è vero! - dichiarò Joco
- È la stessa materia, tra corso A e corso B non cambierà così tanto..."
Per tutto il resto della giornata, Joco studiò con Grip... e poi si lasciò andare all'amara confessione:
"Il programma del corso B non c'entra NIENTE col corso A. NIENTE! Ed è un CASINO!!!"
Ok, tocca a voi!
In coro:
"Spaccati il culo, spaccati il culo, parti per NAJA, parti per NAJA, bastone, bastone, rifai le brande, rifai le brande, onora i nonni, onora i nonni, scopa nel culo, scopa nel culo, bevi il piscio, mangia la mmmmerda!"
Insomma, fu una splendida giornata.
Mercoledì 11 settembre: LA VIGILIA
Per una volta, alla vigilia dell'esame sarei dovuto essere perfettamente tranquillo: non rischiavo Naja! Invece,
non avevo occhi che per l'Ansia.
Persino
Nerina
diceva che la trascuravo... ed il Pentium minacciava di fare l'M24.
Il peggio però era scuola:
tutti stavano studiando.
Porca troia, sembravano seri: zitti, muti, non volava una mosca!
Paura, cazzo.
Posai lo zaino nel baricentro tra Budo, il Pazzo, Spranga e MiOpìO, per il gusto di sentirmi normale... e MiOpìO disse:
"Sai che avevi ragione? Non è difficile Fisica... bastava entrare nell'OTTICA della materia!"
Andammo avanti a ridere fino a sera e nessuno fece più un cazzo... tranne l'Ansia, che passò la notte a riarrangiarmi la Locanda in stile Death Metal, con tanto di Marchesini con le borchie.
Verso le cinque del mattino, chiusi il quaderno e misi via il righello pieno di formule crittografate... c'era ancora uno spazietto vuoto, in alto a destra, ma ormai le avevo scritte tutte: la densità era impressionante.
Ecco.
Potevo aggiungere
la formula della DENSITÀ!
Ma che cazzo andavo a pensare... stavo delirando, cazzo.
Era
Massa fratto Volume, no?
No?
Massa fratto Volume elevato qualcosa? Sì, cazzo... no. Forse no.
Fankulo, meglio controllare... sì, ok, era quella, ρ=m/V.
Crittografai al volo anche la densità: adesso il righello era DAVVERO pieno!!!
Poi spensi la luce, salutai Nerina ed il Pentium e provai a dormire.
Giovedì 12 settembre: LO SCRITTO #2, LA VENDETTA!
La Voce della mia Coscienza mi svegliò alle otto del mattino... però fankulo:
sarebbe stata DAVVERO L'ULTIMA VOLTA, per tutto il '96!!!
E comunque eravamo bellissimi, cazzo:
GM,
MisterBean,
MiOpìO, Spranga, Budo ed il sottoscritto e dare lo stesso esame, contemporaneamente!
Poi arrivò la prof... e chiuse la porta.
E
il Pazzo??? Boh.
"Vedo tanti volti conosciuti... - commentò la prof
- Stavolta fate più attenzione!"
Sembrava che parlasse a me... infatti subito dopo
mi spostò in PRIMA FILA!
Dicono che ci si concentri meglio.
E va be', lessi il testo.
Era... ERA...
ERA... BASTARDISSIMO!!!
Però
il più vicino a me era... SPRANGA!
In un universo parallelo in cui mi avesse segato di
Analisi2
o di
Sistemi1,
QUELLA sarebbe stata la mia AntiNaja... e mi sarei suicidato!
Invece, niente panico... proviamoci! Con calma.
- Primo esercizio: un blocco di massa m1 si muove con velocità v1= 2 m/s su una superficie orizzontale priva di attrito ed urta elasticamente contro un blocco di massa m2 = 4m1 che inizialmente è in quiete.
- Trovare le velocità V1 e V2 delle due masse dopo l'urto.
Sul righello avevo TUTTE le formule degli urti! YEEEEEE!!!
m1v1+m2v2=m1V1+m2V2
m1v12+m2v22=m1V12+m2V22
Quindi: V2=0.8 e V1= -1,2.
Il "meno" aveva senso: la sfera tornava indietro! Forse.
- La massa m2 si muove poi indisturbata, mentre la massa m1 va ad urtare elasticamente contro una parete fissa. Qual è la sua velocità dopo l'urto?
Non c'era attrito, quindi era sempre la stessa!
Oppure non sapevo come calcolarla.
Nel dubbio, decisi che era sempre la stessa.
Però col segno cambiato, perché andava al contrario del contrario, quindi dritta: V1 = +1,2 m/s.
- Quanto spazio percorre la massa m2 prima di essere urtata nuovamente dalla massa m1, se la parete fissa è posta a distanza d=2m dal punto in cui m1 ha urtato contro m2 la prima volta?
Mh... la sfera faceva due metri avanti e due indietro.
Quindi, lo spazio "s" era 4 metri in più della distanza "x" percorsa dal cubo.
Inoltre, senza attrito, s=vt. Quindi:
x+4 = V1t
x=V2t
Adesso sembrava persino troppo facile: t=10, x=8, s=12.
C'era un'inculata? Probabilmente sì... ma non avevo scelta.
- Dopo questo urto, le due masse proseguono insieme. Se la superficie diventa scabra, con coefficiente d'attrito μ=0.5, quanto spazio percorrono le due masse prima di fermarsi?
Che palle.
Va be', avevo le formule, completai i calcoli, s=0.08 e vaffankulo.
Dai, dopo tutto 'sto casino, non me lo potrà contare zero, cazzo!
-
Secondo esercizio: termodinamica.
Nella tabella mancava completamente una riga, la C, e le quattro trasformazioni erano un'isocora, un'isobara, un'isoterma e un'adiabatica: non ci facevamo mancare niente!
Era il più bastardo che avessi mai fatto, disegnai il diagramma, sembrava un quadro di Dalì.

Alla fine, chiedeva di trovare il massimo ΔV ed il minimo ΔS.
Se era giusto, veniva ΔVAB e ΔSDA, speriamo bene!
"Mancano dieci minuti! - disse la prof - Siete a buon punto?"
NO, cazzo! Buon punto staminchia!
-
Terzo esercizio: analisi dimensionale della... VISCOSITÀ.
Ok, era la botta di culo più grande dell'universo: serviva la densità ed era l'ULTIMA formula che mi ero copiato sul righello la notte prima, alle cinque del mattino, quella che non aveva chiesto MAI!
Terminai l'esercizio in due minuti.

Non feci in tempo a tappare il trattopen, che
alle mie spalle esplose un sibilo fastidiosissimo:
"SHSHSHVHSHSHSHSHAAAAAAAA!!!"
Ok, era
Spranga... e
voleva la formula della densità.
Quindi,
la prof iniziò a guardare solo ME: non potevo né voltarmi né rispondere né fare nulla... finché un tizio non andò a consegnare.
Alzai il foglio, fingendo di rileggerlo.
"OK! - disse Spranga da dietro
- FATTO!"
Per un picosecondo, fui più veloce degli occhi della prof... e solo allora mi accorsi che,
al di là della finestra, erano spuntati cinque adorabili pirla: Joco, Mandingo, Nichel, McLaud e Grip!
Il più bello era Mandingo, che arrivava a malapena alla finestra, puntava il dito e, col labiale, diceva:
"VI SEEEEEEEEEEGA!"
GM e MisterBean consegnarono ed uscirono fuori, perché volevano picchiare Mandingo.
Io invece rilessi di nuovo... chissà che cazzo avevo combinato stavolta! Boh, comunque non sarei partito per Naja: sorrisi, consegnai e lessi i risultati.
IL MIRACOLO
Cazzo...
AVEVO FATTO TUTTO GIUSTO!!!
Schizzai fuori, per il gusto di mandare affankulo i cinque pirla... anzi, i quattro, perché nel frattempo
GM
e MisterBean avevano sterminato Mandingo.
"HANDICAPPAAATO! Allora? Foglio in bianc'? Foglio in bianc'?"
"SOOOOOOOOKA! - risposi
- TUTTO GIUSTO!"
"Anch'io, credo... - disse GM, pulendosi dalle tracce di Mandingo
- Ma che casino!"
"E la densità? - aggiunse MrBean
- Io non ce l'avevo!"
"Male! Devi sempre avere tutto! Io avevo DIECI PAGINE di bigliettini e..."
La porta dell'aula si aprì ed uscì la prof.
"SILENZIO! - disse
- I vostri colleghi stanno ancora facendo l'esame!"
GM si teletrasportò su Magrathea, noi fissammo in silenzio Spranga e MiOpìO, che si affannavano a finire.
"Un momento... - obiettai -
Ma Budo?"
Nessuno l'aveva visto andar via, eppure NON C'ERA:
era EVAPORATO durante l'esame!!!
Poi uscirono
Spranga e MiOpìO.
"Grazie della formula, Marok... - disse Spranga
- Ma la vedo nera..."
"Era IMPOSSIBILE! - commentò MiOpìO
- Adesso glielo vado a dire. Non ci può chiedere di calcolare gli urti, senza dirci quanto valgono le masse!"
"Be', però ti diceva che una massa era il quadruplo dell'altra..."
"Perché?"
"Eh??? Come perché? Prendi il testo... ecco, guarda qua: m2=4m1..."
MiOpìO posò il naso sul foglio, lo fissò a lungo... e sbiancò.
"NOOOOOOO! - disse
- Non ho VISTO un dato!!!"
Era il migliore degli universi possibili.
Venerdì 13 settembre: IL BATTESIMO DELLA PADANIA
Quel venerdì mi alzai come sempre all'alba, mezzogiorno.
Però non era una data qualsiasi: era
venerdì 13 e due nostri amici stavano consegnando lo
scritto di Calcolo Numerico... avrei fatto qualunque cosa per vederli!!!
Va be', tranne alzarmi alle otto del mattino e andare a Palazzo Campana.
Comunque, nel pomeriggio telefonai a Joco... e mi descrisse per filo e per segno il suo esame:
"C'erano 7 esercizi. Nel primo ho inventato gli algoritmi di sana pianta... e va be', però gli altri li ho fatti QUASI GIUSTI! Credo. Ah, però NON ne ho fatti DUE... va be', solo due... magari lo passo!"
Ok, a voi... in coro:
"Spaccati il culo, spaccati il culo, parti per NAJA, parti per NAJA, bastone, bastone, rifai le brande, rifai le brande, onora i nonni, onora i nonni, scopa nel culo, scopa nel culo, bevi il piscio, mangia la mmmmerda!"
Bene, adesso era tempo di pensare alle cose

intelligenti e costruttive:
il BATTESIMO DELLA PADANIA.
Proprio così: Umberto Bossi aveva scelto il venerdì 13 per
battezzare la "Padania", prelevando un'ampolla d'acqua del Po dalle sorgenti, a pian del Re, e portandola fino al Delta.
Fantastico no?
E non era tutto: quella sera ci avrebbe fatto un enorme regalo, cioè avrebbe preso il battello e
sarebbe sceso ai Murazzi!
Ai NOSTRI Murazzi!
E mica solo Bossi... pure Gipo Farassino!
Oh, fin qua, tutto bene: che non si dica che non siamo ospitali con chi ha un handicap diverso dal nostro!
Il
"problema" è che, in vista dello sbarco leghista,
la polizia aveva BLINDATO il CSA, quindi
aveva buttato fuori NOI dai NOSTRI Murazzi per far posto alla LEGA NORD!
Insomma, l'imperativo CATEGORICO della gioventù torinese era
ROMPERGLI IL CULO: quella sera
si sarebbe scatenato L'INFEEERNO!!!
Non potevamo mancare.
Jena il rollatore voleva essere in prima linea così, se fosse crepato, non sarebbe partito per Naja! Alla macchina però ci teneva, quindi parcheggiò di fronte
all'
Avogadro,
lontano dal casino e vicino alle
gallerie di Pietro Micca, che potevano essere utili in caso di bombardamento nucleare.
Piazza Vittorio sboccava di gente: non l'avevo mai vista così piena! Persino
Niger, di fronte a tanto, si lasciò andare ad un

GRIDO LIBERATORIO:
"...azz..."
Però a bassa voce.
Per l'occasione, anche
Lyde era dei nostri!
Persino lui, che non poteva fumare perché era handicappato, scendeva in piazza per difendere i Murazzi!!!
Quello più in forma però era
Attila: si era preso a cuore
l'educazione di Lyde, perché
voleva farlo diventare CALABRESE.
"Minchia Lyde! Mo' vediamo se hai imparato! Che facciamo qua stanotte?"
"CALAAAAAABBRIA!!! - urlò Lyde
- MINCHIA TROPPO YES!!!"
Attila scoppiò a ridere, poi continuò:
"Buono!!! Se fai così sei troppo il capo! Ma metti il caso che lo vedi! Hai capito che devi fare? Gli devi dire che la moglie è TERRONA e ha LA FIGA LORDA! Chiaro?"
"E non è che poi mi arrestano?"
"Ma va, figurati... minchia, lo si vede che sei handicappato, dai!"
"Mh..." commentò Niger indicando al di là del fiume.
Aveva ragione: sembrava che ci fosse un concerto! Così, attraversammo il Po e trovammo gli
Africa Unite!
Ci sembrò anche di scorgere
Mao e la Rivoluzione, ma probabilmente era

un miraggio.
Comunque,
sul palco salì una seconda formazione: quella della POLIZIA, che staccò l'impianto e disse a tutti di andare a casa.
Così, perché avevano le PALLE QUADRATE.
Sulle prime, pensammo ad una gag... tipo
"Afrikani a kasa vostra!" o roba del genere... poi capimmo che erano seri.
Quindi, un esagitato in passamontagna e megafono dribblò la polizia, saltò sul palco sgomberato ed urlò:
"SE NON CI FANNO STARE NEI NOSTRI MURAZZI, SE NON CI FANNO SUONARE LA NOSTRA MUSICA... SPACCHIAMOGLI IL CULOOOOO!!!"
Una trentina di ragazzi in passamontagna si diresse, compatta, verso i Murazzi.
Cos'avrebbero fatto le persone normali?
Non lo so... comunque noi gli andammo dietro.
Lungo la strada, beccammo anche
Grip e
McLaud... che però andavano dalla parte opposta. Boh... strane persone.
"Griiiiip! - urlai
- Ma alla fine stamattina l'hai passato CALCOLO???"
"Boooooh..." rispose, prima di sparire in mezzo alla folla.
La discesa dei Murazzi era presidiata da agenti ENORMI, che erano ARMATI ed erano TANTISSIMI. Di fronte a ciò, persino gli autonomi in passamontagna preferirono fermarsi al
"piano di sopra", in
lungo Po Diaz... che forse era
la peggiore scelta possibile: era un
"collo di bottiglia", senza vie di fuga.
Per evitare la trappola, convinsi gli altri a spostarsi di pochi passi in direzione
sud,
in corso Cairoli, dove il lungo Po eredita anche la corsia del 16.
Ci ritrovammo in un altro pianeta:
era pieno di gente comune di mezza età, padri e madri di famiglia a cui dei Muri non poteva fottere mezza cippa di cazzo...
erano lì per mandare affankulo la Lega!
Come in tutte le città del Nord Italia, la maggior parte dei veeeekki erano immigrati nati al Sud, ma c'erano anche degli eroi con
le magliette in piemontese che dicevano, pressappoco:
"Mi a sun piemunteis, ma dabùn sun baròt! E la LEGA am fa propri CAGHÉ, ma cui BOT!".
O qualcosa del genere.
Sarebbe stato fantastico che ad organizzare un contro-concerto fossero stati gruppi che cantavano in tutti i dialetti del nord, tipo
Pitura Freska,
Üstmamò,
Enzo Jannacci
e, perché no, i
Farinei dla Brigna!
Così, finalmente, avrei sentito dal vivo quel picio di mio cugino.
Una sinfonia di fischi intanto annunciò l'arrivo del battello padano,

el pueblo unido urlò:
"VERGOGNA! VERGOGNA!"
Niente parolacce: non se le meritavano.
"PROPRIO QUA VENITE!" urlò un signore anziano. Sembrava assurdo che difendesse i Murazzi... eppure...
"Proprio qua, sotto GARIBALDI!!!"
Ma dai! Ai Muri c'era DAVVERO una statua di Garibaldi! Non ce n'eravamo mai accorti... non che ce ne fottesse qualcosa.
"MINCHIA hanno urlato PADANIA!!! - strillò un tizio dalle retrovie
- Minchia fanno una festa in CASA NOSTRA, ci CACCIANO ed urlano PADAAANIA? Ma io li ammazzo a PIETRATE!!!"
"No, dai, questo non va bene! - li sgridò una signora diversamente magra
- Comportatevi bene! Questo non si fa! Io non sono d'accordo! La protesta dev'essere civile!"
Per tutta risposta, l'esagitato ed i suoi amici
raccolsero pietre dal tracciato del 16... e
sembravano intenzionati a buttarle di sotto, sorvolando le nostre teste.
"Che ne dite se ci leviamo?"
"Hm..." rispose Niger.
Quello che diceva Niger era legge: scivolammo nella folla fino a raggiungere l'altro lato! Solo
Attila rimase indietro.
Ad un tratto,
alla nostra destra apparve la polizia: una falange di un centinaio di agenti, larga quanto l'intero corso.
A sinistra, si raggrupparono gli anarchici a volto coperto, armati di spranghe e bastoni.
Attila era ESATTAMENTE IN MEZZO, girato verso i manifestanti, con le spalle alla polizia. Tranquillo, felice. Non c'era NESSUN ALTRO in quello spazio... solo lui.
Jena iniziò ad urlare come un matto:
"ATTILA! ATTILA! LEVATI! SUBITO!!!"
Attila non sentiva.
In un raro momento di follia, scattammo in due e cercammo di trascinarlo

via.
"Miiiiii, che c'è?"
"Guarda, CAZZO!"
"Uh..."
Corremmo verso la nostra base, intravedendo
un pirla che
lanciava qualcosa, forse una bottiglia... non mi fermai ad analizzare se avesse mirato contro i leghisti o contro la polizia.
Poi sentimmo delle urla... ci voltammo e vedemmo che
la carica era partita!
Va be', ormai l'avevamo scampata, eravamo fuori traiettoria, potevamo goderci lo spettacolo in santa pace! EVVIVA!!!
Un agente sparò qualcosa ad altezza uomo.
Non capimmo che cazzo fosse, ma ci passò davanti... e
andò a colpire alla testa il tizio che stava di fianco a noi. Ne spararono altri, a raffica, in direzioni assolutamente casuali... ma tutti ad altezza uomo.
Il tizio di prima era cascato a terra e
zampillava sangue dalla testa.
Bisognava chiamare i soccorsi, Jena aveva con sé il cellulare ma non prendeva... però l'ambulanza arrivò lo stesso.
Telepatia.
Ne uscì una barella, che per poco non venne centrata da

un altro di quegli affari sparati dalla polizia... quando all'improvviso gli occhi iniziarono a bruciare.
"SONO LACRIMOGENI! - urlò Jena
- ANDIAMO VIA! SUBITO!!!"
Ci mettemmo a correre lungo la traversa più vicina, via Giolitti, ma il bruciore aumentava, fino a diventare insostenibile.
"Come cazzo è? Abbiamo fatto un chilometro e brucia sempre di più!"
"Forse è ad effetto ritardato..."
"Nonò, il cazzo! Guarda la gente!"
In tutta piazza Castello, c'erano solo occhi in lacrime, compresi i gestori dei locali che, di sicuro, non erano scappati dai Muri.
Era
il vento, cazzo:
aveva disperso i lacrimogeni in TUTTO il centro, per un raggio di almeno DUE chilometri! Avevano fatto un DISASTRO!
Ai giardini Reali beccammo una fontanella e ci lavammo gli occhi, ma era solo un palliativo: dopo pochi minuti ricominciavano a bruciare.
Jena disse che, comunque, poteva guidare lo stesso... quindi raggiungemmo di corsa la macchina, osservando gente che piangeva in tutto corso Regina.
Era l'apocalisse, cazzo!
Gli occhi smisero di bruciare dentro l'Eagle House di corso Francia, che stava a 7 chilometri dai Muri. E Jena il rollatore, finalmente calmo, rilassato, tranquillo e sereno, poté ricominciare a pensare al suo incubo: la NAJA.
Lunedì 16 settembre: IL COLLOQUIO
Quel lunedì mi alzai come sempre all'alba, mezzogiorno.
Per tutto il weekend, i telegiornali avevano mostrato le scene di guerriglia urbana del centro di Torino... e la Voce della mia Coscienza era orripilata:
"Ma come fa al mondo ad esistere questa brutta gente? Non li frequentare eh, mi raccomando! Non andare mai in quei posti! Sai cosa diceva padre Dante, no?"
Aveva ragione mia mamma: non dovrei frequentare brutta gente!
Però non lo facevo apposta: nell'atrio, di fronte alla bacheca, c'era
Mandingo, che puntava il dito e RIDEVA!
Panico.
Controllai, non c'era Fisica, solo Calcolo... e
GRIP CE L'AVEVA FATTA!
Joco
invece era stato DAVVERO SEGATO: CE L'AVEVA NEL CULO.
Incredibile, cazzo...
sarebbe partito sul serio!
E così, per l'ennesima volta, i due ladroni accompagnarono Gesù Cristo a colloquio con la prof.
"Non so ancora dirvi se metterò altri appelli... - rispose
- Comunque, avete sempre a disposizione i moduli del Nuovo Ordinamento! A partire da gennaio..."
"MA IO NON POSSO ASPETTARE... - urlò Joco
- IO DEVO PASSARE IL SUO ESAME, SE NO... PARTO PER IL MILITARE!"
L'aveva... detto... SUL SERIO!
Era capitato... DAVVERO!!!
Trascinammo fuori il ciuccio prima che combinasse altri disastri e poi apparve Mandingo, che puntò il dito ed urlò:
"Marok ha RUBAAATO! È un'INGIUSTIIIZIA!"
"Perché? Che succede?"
"Vai a vedere... scendi sotto, vai, vai!!!"
L'Ansia cantava
"Padania mia" in calabrese su base death metal.
Rotolai giù dalle scale.
Mi precipitai verso la bacheca e mi stampai contro il muro. Poi mi voltai e
trovai i risultati, appena pubblicati.
FISICA 1 Vecchio Ordinamento
Esame scritto del 12/9/1996
- Marok 28
- GM 27
- MisterBean 21
- Spranga 17
- MiOpìO 17
Rimasi senza parole... era L'INSULTO DEFINITIVO al concetto stesso di scienza nella civiltà universale! Era una FIGATA!!!
"HANDICAPPAAATO! - urlò Nichel
- "Hai preso più di GM!!!"
"Ma non solo... è il voto più alto che ho mai preso nella vita!"
"È UN'INGIUSTIIIIIIIZIA!" ripeteva Mandingo, come un indemoniato.
Alla fine, era Mandingo il VERO motivo per dare esami... altro che Naja!
"Allora? - continuò Nichel
- Adesso lo fai sto cazzo di orale?"
"Sì, nel '97..."
"Io domani lo provo! - sentenziò
- Ho deciso!"
"CHE COSA??? Ma... sei fuori! Ti fotti così l'AntiNaja?"
"Fankulo. Devo fare 'sta CAZZO di Analisi2, a dicembre ho lo scritto e ci manca solo che perdo tempo con Fisica. E poi adesso le cose più o meno le so. Nel '97 campaciucc'..."
Sono cose che fanno pensare.
Per la cronaca, quella sera andai al cinema, con Joco ed il suo amico più diversamente figato:
Killer.
Davano un film chiamato
"Mission Impossible":
era la storia di Joco, che cercava di non partire per Naja!!!
Aveva quasi più speranza di TROMBARE! Forse.
Martedì 17 settembre: L'ORALE DI NICHEL
Fu l'ennesima terrificante levataccia... però, dai,
stavolta era davvero l'ULTIMA: niente e nessuno mi avrebbe più convinto ad alzarmi alle otto del mattino, fino al '97!
A scuola c'eravamo tutti... compreso il festeggiato,
Nichel, che si era segnato penultimo, perché l'ultimo posto era già preso.
Al primo chiese
il moto del proiettile: si ispirava alla cronaca...
"Moto del LACRIMOGENO" sarebbe stato perfetto!
Comunque, portammo a spasso Nichel, come si fa con i cani e gli handicappati.
"Minchia che palle... - diceva
- Sta a vedere che mi chiede il TUBO di FLUSSO..."
"Il TUBO di FLUSSO??? - strillò Joco
- Ma va'! È una roba che NON chiede MAI! Ti ho già detto cosa vuole: moto del proiettile, corpi in caduta libera, leggi della termodinamica, teoria cinetica dei gas, le onde..."
"'Sta roba la so, ma il TUBO DI FLUSSO..."
"NON LO CHIEDEEEEEEEEEEEEEEEE!!!"
Tornammo dentro, toccava al numero 2.
"Bene! - disse la prof
- Per cominciare, mi parli del TUBO di FLUSSO!"
Scoppiammo a ridere... e la prof ci guardò MALISSIMO!
Comunque, il secondo andò bene e pure il terzo, che dimostrò competenza in urti ed entropia. Poi, alla mezza, toccò finalmente a
Nichel!
E scese il silenzio.
"Cancelli! E mi parli del centro di massa!"
Se la cavò bene in entrambi i casi.
"Mi descriva il calore specifico!"
La formula la conoscete, no?
ΔQ/
T.
"Giusto, ma che cosa sono Q e T?"
"ΔQ è il calore scambiato, T è il tempo..."
AHIAAAAAAAAAAAA!!!
No, cazzo, NO...
era FOTTUTO!
"È
sicuro?"
chiese la prof.
Nichel fece una lunga pausa e poi, come se niente fosse, rispose:
"Temperatura?"
La prof lo fissò con ODIO... ma, anziché segarlo, gli fece una delle domande più bastarde:
l'interferenza nelle onde.
Nichel scrisse una formula alla lavagna, poi
si girò e guardò fisso nel vuoto.
"Mi scusi - disse la prof
- ma... perché ha scritto questa formula?"
E Nichel rispose, testuali parole:
"SUL LIBRO MI SEMBRA CHE ERA COSÌ!"
FANTASTICO, CAZZO,
FANTASTICO!!!
In SETTE parole, aveva riassunto TUTTO:
- "Sul libro era così" -> non ho capito un cazzo, ho studiato a memoria.
- "Mi sembra" -> beh, studiato, cioè... qualcosina, dai!
- "Mi sembra che era" -> forma italiana? Fankulo!!!
Era il
MANIFESTO dell'IGNORANZA!
E la cosa più incredibile fu che, pur di levarselo dai coglioni,
la prof gli confermò il voto dello scritto: 25!
Era il più grande
SCANDALO di tutti i tempi... e
Nichel
si precipitò fuori, perché gli scoppiava da ridere.
"Avanti il prossimo! - disse la prof
- Quanti devono passare ancora?"
"Solo io, credo..." rispose NumeroJohnny5.
"E voi? Non vorrete davvero aspettare fino a ottobre?"
"Probabilmente, daremo tutti l'orale a gennaio..."
La prof trasalì.
"Ma a gennaio IL VOSTRO SCRITTO NON SARÀ PIÙ VALIDO!"
"Eh???"
"Lo scritto vale per l'appello in corso e per il successivo... mica sei mesi!"
Una
pioggia di MATTONI ci balzò nel culo.
Mattoni LUNGHI, GROSSI e DURI.
"Fermatevi oggi, dai, facciamo in tempo, siete così pochi..."
"Ehm..."
"Mi raccomando, ragazzi, se non ce la fate ad ottobre dovrete rifare lo scritto... e non so quanti appelli ci saranno ancora, per voi del Vecchio Ordinamento! Siete quasi gli ultimi! Magari un paio ne metteremo ancora, ma a gennaio potrebbero non essercene più e dovrete fare due moduli col Nuovo Ordinamento... e il totale del programma sarà sicuramente superiore! Ma, ragazzi, non vi siete informati? Possibile?"
Lunedì 23 settembre: ROTTA PER CASA MIOPÌO
Quel lunedì mi alzai come sempre all'alba, mezzogiorno, e non sapevo che cazzo fare:
mi fottevo il 28 o mi resettavo l'AntiNaja?
Acciambellata sullo zaino,
Nerina
partecipava al mio dramma facendo a gara col Pentium a chi ingrassava di più... e vinceva il Pentium.
Un po' era colpa di
GM: era diventato fan delle cazzate che scrivevo nelle mie recensioni ai SUOI giochi, così
mi prestava tutto...
purché glielo catalogassi in DB3.
Immagini porno a parte, menzione d'onore a
Civilization 2
ed alla
versione "parlata" di
Day of the Tentacle...
completamente editabile!
Il resto del peso, però, era autoprodotto:
scansioni di foto,
fotoritocchi,
livelli modificati,
racconti,
file audio che non dovevo assolutamente perdere, tra cui la
ghost di Eat the Phikis
decriptata! Nel giro di pochi mesi ero riuscito in un'impresa impossibile:
avevo quasi riempito un hard disk da 1 GIGA!
E così, per la prima volta nella vita,
non potevo più fare un backup dei miei dati: sarebbero serviti più di 700 dischetti, oppure un banalissimo
controller SCSI che avrebbe permesso di montare un hard disk più grande oppure un
masterizzatore, per una spesa totale che partiva da
un milione e mezzo, montaggio escluso. Bazzecole!
Sì, ero fottuto.
E così, quel giorno a scuola beccai la persona giusta,
Mandingo,
che mi vide e disse:
"Marok! Hai giocato a
QUAKE?
È più bello di Duke Nukem 3d! Devi provarlo!"
"Per adesso non posso... - risposi
- Sto finendo lo spazio su hard disk..."
"Ma stai scherzando? Cancella qualcosa! È fantastico, è stupendo!!!"
Non potevamo perdere tutto il giorno.
"Ok... me lo dai?"
"NØ! Così STUDI! Che tanto poi ti SEEEEEEEEGA! Ihihihihihiiiiiiiiii!!!"
Poi si girò, piedi a papera, e se ne andò!
Nel culo di Joco, nel frattempo, si era aperto uno spiraglio di chiusura:
era saltato fuori un altro appello di Calcolo, il 15 ottobre!
L'ultima possibilità AntiNaja!!!
In compenso, come premio per i successi scolastici, i suoi avevano deciso di rottamargli la macchina:
l'indomani la
Jocomobile
sarebbe diventata un ricordo cubico di ruggine e schiiiifo!!!
Era un pezzo della nostra storia che volava via... e quella sera combinammo l'
ultimo viaggio!
Eravamo tragicamente in tre... ed il terzo era
Killer.
Ci trovammo al cinema a vedere
"The Rock",
parlava di
un genio delle evasioni: era la storia di Joco che cercava di scappare da NAJA!
"E quindi... - disse Joco
- Stasera dobbiamo FINIRE LA
MACCHINA!"
"E allora andiamo in un posto inkulato! - rispose Killer
- Basta che sia GRATIS!"
"Casa MiOpìO! - proposi -
Sta a Pino..."
"E sai arrivarci?"
"Fino a Pino sì! Poi, boh... ho l'indirizzo... cerchiamo..."
Arrancando e sbuffando al grido di
"Bastone, carota, bastone, carota!", la Jocomobile salì fino a Pino!
Poi Joco girò in una via a caso, perché secondo lui era bassa, grassa, cieca e lenta. Dopo la prima curva, comparve una targhetta col nome...
ERA GIUSTA!
Quindi, andammo al civico di MiOpìO... ed il cognome corrispondeva: perfetto!
Faceva un
FREDDO BASTARDO, saremo stati sì e no a 500 metri, ma sembrava di essere in montagna!
Sui vetri appannati della macchina apparvero i CAZZI: li avevo disegnati io, un paio d'anni prima, e non erano mai andati via! Era l'ultima volta che li vedevamo... mi sarebbero mancati.
Comunque, Killer mi passò un foglio piegato in due, stile biglietto di auguri... ed io pensai al resto.
Intestazione:
"Per MiOpìO" (con le due O collegate dalla stanghetta).
Contenuto:
CAZZI CONGELATI CON GLI OCCHIALI (purtroppo non avevo la macchina foto, sorry).
Quindi, ficcammo la merda in buca, girammo la macchina, salimmo a bordo, tirammo giù i finestrini... e nel silenzio dell'una
urlammo con tutte le nostre forze: "MiOpìOØO!!! FANKULOø¤º°`°º¤,¸¸,ø¤º°`°º¤Ø!!!"
Rimbombò tantissimo... forse fu la cosa più inutile di tutto il '96.
Noi sì che ci sappiamo divertire.
Venerdì 27 settembre: LO SPREGIO CONTRO MANDINGO
Quel venerdì mi alzai come sempre all'alba, mezzogiorno... e mi incamminai lentamente verso la scuola.
MiOpìO non aveva ancora smesso di ringraziarci per la visita dello scorso lunedì: ci voleva tanto bene e ce lo ripeteva ogni volta che ci vedeva!
Quindi, quando eravamo vicini.
Per il resto, eravamo alla vigilia del
28 settembre, compleanno di un grande pensatore: CONFUCIO! E poi anche di
MANDINGO.
Con l'aiuto di Grip, Joco, McLaud, MiOpìO, Nichel e Spranga, avevo stilato la
lista delle PEGGIORI otto frasi di Mandingo, avevo scelto
la foto più ORRIPILANTE, mi ero preoccupato personalmente di
scontornarla nel modo PEGGIORE possibile... ed alla fine l'avevo
incorniciata in WordArt!
Di PEGGIO non potevo davvero fare.
Così, grazie alla
copisteria del Poli (consigliata da Killer!), avevo stampato
la maglietta SPREGIO per Mandingo...
e gliela volevamo dare oggi, perché
ricevere regali il giorno prima portava SFIIIGA!
Problema: a scuola
Mandingo NON c'era!
Porca troia.
Aveva subodorato qualcosa?
No, era semplicemente in ritardo: apparve così, dal nulla, un terzo testa, un terzo busto e un terzo gambe, piedi a papera, dito puntato e saluto di rito:
"TI SEEEEEEEEEEEEEEEEEEEGA!!!"
L'insospettabile McLaud gli andò incontro e disse:
"Mandingo, ma che maglietta hai? Non è quella giusta!"
L'Essere emise un suono disarticolato, ma non fece in tempo a reagire che appallottolai la maglietta e gliela LANCIAI in faccia.
Mandingo la guardò, sbiancò ed urlò:
"CHE STRONZI! CHE BASTARDI!!!"
L'intera scuola scoppiò a ridere: tutti si erano già stampati una copia del file e la brandivano come un trofeo!
Mandingo lanciava parolacce e maledizioni, fulmini e saette... ma non era nulla in confronto a quello che successe dopo.
Nessuno di voi indovinerebbe mai.
Nessuno sceneggiatore, per quanto folle, avrebbe mai scritto un finale del genere... fu qualcosa che andò al di là del sogno più allucinato della peggiore sbronza chimica che abbiate mai preso nella vita.
Mandingo mi guardò... e disse:
"Ok, domani vieni da me... a prendere sto cazzo di QUAKE!"
Sabato 28 settembre: GOD
Come da protocollo,
chiamai Mandingo dalla cabina e lui
mi tirò le chiavi dal balcone. Fu un bel momento: adoravo quella casa! L'unico difetto era l'assenza di animali... però c'era
Birillo,
il fratello gemello, che mi fece le feste in cima alle scale!!!
In effetti, avremmo potuto fare un regalo anche a lui... era un vero peccato che non ce ne fottesse un cazzo.
"BUON COMPLEANNO!!!" urlai.
"Grazie! - rispose Birillo
- Com'è?"
"Ma sì, il Pentium va da Dio! E voi?"
"Anche il nostro, ma abbiamo di nuovo riempito l'hard disk..."
Avevamo problemi in comune... a parte che io non avevo ancora perso i dati.
Comunque, il CASINO di camera loro superava ogni immaginazione: era una FIGATA!
C'erano
tre computer affiancati: un Commodore, un Pentium ed un Amiga.
I cavi formavano un'unica ragnatela e la moquette verde scuro era quasi interamente ricoperta da un mosaico di dischetti, cassette e riviste per computer che complottavano per l'autogestione. La cosa divertente era che la parte superiore della stanza era ordinata, perché non ci arrivavano... e di sicuro non c'era spazio per mettere una scala.
Nel baricentro giaceva l'immonda figura gnomica di
Mandingo,
che smanettava sulla macchina più recente, il Pentium, emulando una console più vecchia di tutti gli altri computer che aveva in casa.
Non mi sarebbe dispiaciuto partecipare all'esperimento, ma avevamo altre priorità... e l'Essere fu di parola:
mi diede il CD di QUAKE! VITTORIA!!!
Tempo di arrivare a casa e lo provai:
occupava 56 MEGA,
me ne restavano 4 liberi... su UN GIGA! Porca troia.
Comunque, aveva ragione:
Quake era FANTASTICO! I mostri erano orripilanti e stronzi, la grafica schizzava da Dio anche ad 800x600 e, soprattutto,
si poteva digitare codice in una console.
Così,
provai ad indovinare i cheat, scrissi GOD... e funzionò!
Ero INVULNERABILE!!!
Quello stesso pomeriggio, portai il CD a casa
GM...
ed era incredibile quanto
tutto sembrasse
ordinato, dopo la gita a casa di Mandingo!
A discolpa del mio fornitore di fiducia, bisogna dire che divideva la stanza con la sorella, che lo depotenziava: forse un gatto era meglio, boh...
"Voglio che sia messo agli atti! - dissi
- Oggi, sabato 28 settembre '96, sei TU, GM a copiare qualcosa da ME!"
"Ahahah! Dai, Marok, ti posso passare..."
"...un CAZZO: ho saturato l'hard disk!"
GM sospirò, eravamo nella stessa barca: NESSUN modo di fare backup e NESSUN milione e mezzo nascosto nel cassetto per comprare controller SCSI più masterizzatore o secondo hard disk.
Al primo casino stile Mandingo, eravamo letteralmente FOTTUTI!
Venerdì 18 ottobre: LA MOTIVAZIONE
Era passato un mese e
non avevo ancora deciso che cazzo fare con Fisica1: buttare nel cesso il 28 o portarlo a casa... però resettando l'AntiNaja del '97?
Di tutto ciò, la Voce della mia Coscienza non sapeva nulla: non telefonatele in ufficio, grazie!
Per la cronaca, gli orali di ottobre erano il
5 novembre, il che aumentava la coerenza ma non cambiava la sostanza: comunque avessi scelto, avrei fatto una cagata.
Ad Economia, nel frattempo,
Jena il rollatore fu DI NUOVO SEGATO!!!
Adesso gli restavano
due mesi per dare due esami... e lui però era ottimista:
"Ma minchia, ma porca troia, ma vaffankulo! Che cazzo devo fare per passare gli esami? Baciare il culo a DIO?"
Ad Informatica, sul destino di
Joco si stese una divisa di Naja: lo scorso martedì
aveva di nuovo tentato lo scritto di Calcolo ed
era andata di merda... secondo gli exit poll! Attendiamo i risultati definitivi.
In tutto ciò, poteva la mia giornata fare ANCORA PIÙ CAGARE?
Ebbene sì: dopo mesi di rinvii,
andai a trovare mio padre!
Boh, viste le premesse, non andò così male: solo 20 minuti d'attesa ed un'ora di viaggio in mezzo alla pheega colorata ed urlettante appena uscita da scuola!
Nella prossima vita, voglio rinascere pullman.
In più,
come ESORCISMO, tenevo in cuffia un misto di MERIDIONE e SPREGIO verso il lavoro:
Ottavo Padiglione,
Gang,
Alessio Bertallot,
Fratelli di Soledad
ed anche
i primi album dei Litfiba...
ma non ditelo a Niger, se no si monta la testa! Per non parlare della vera CRIPTONITE, i
99 posse.
Poi fu il momento di scendere:
Beethoven
mi corse incontro... e dietro c'era papàMarok.
"CAMPIONE SENZA VALORE! - urlò
- VIENI a vedere che BELLO che è il GIARDINO! 'ARRRDA che piante!!!"
Salutai l'orrore vegetale.
Conquistato il potere, le erbacce dominavano ogni superficie organica ed inorganica della casa... un po' come
Tentacolo Viola!
Però verdi.
La novità era che
uno dei due vicini aveva alzato un muro di cemento per NON impressionarsi... e stava per farlo anche l'altro.
Sangue del mio sangue.
"Davvero bello... - commentai, strizzando l'occhio a
Mozart
- Beato te che stai in un posto così..."
"Piove mica dal cielo, cosa credi? Tenerlo cosììììì ci vuole FATICA! Olio di gomito! Mica come i NAPULI mangiapane a tradimento e FANÈGA e..."
Pausa... ogni tanto persino lui deglutiva.
"...dategli un po' una ZAPPA in mano, ai NAPULI, altro che Cassa del Mezzogiorno! Ah, povera Italia! Ma tu adesso devi pensare solo ad una cosa: STUDIARE!"
"Certo! Ti sembro uno che va in discoteca?"
Anche stavolta, il sorriso complice scattò: ero troppo intelligente per andare in... puah! Discoteca! Gli occhi sprizzavano gioia, con la sola imposizione delle mani aveva tirato su il giardino più bello del mondo ed il figlio più studioso del mondo!!! Era un uomo felice.
"ALLORA, COME VANNO 'STI ESAMI?"
"Bene, ho passato un altro scritto..."
"HAI FATTO SOLO IL TUO DOVERE! SGRUNT. E L'ORALE?"
"Gennaio!"
"GENNAIO??? E ADESSO CHE ACCIDENTI FAI FINO A GENNAIO?"
"Laboratorio di Quake. Ma c'è sempre coda in quella scuola..."
"E LAVORA DA CASA!?? L'HO PAGATO UN FRACCO DI SOLDI QUEL CÒMPIUTER!"
"Eh, non è abbastanza potente..."
"OHU! MA... MA... DÌ MA... COSA CREDONO, CHE PAGA PANTALONE?"
"Eh! Col nuovo ordinamento c'è la piattaforma. La
Chron-o-John. E, per far girare i Threepwood, figurati, richiede il doppio della quantistica di SCUMM..."
"MA COSA DOBBIAMO FARE PER FAR STUDIARE UN FIGLIO? Io che ai miei tempi ho preso DUE LAUREE e mica c'eran 'ste menate..."
"Dai, non ti preoccupare, mi sacrifico, non c'è fretta..."
"MA NON C'È FRETTA UN TUBO! Di questo passo ci metti otto anni a fare un corso da quattro... e poi quando inizi a LAVORARE?"
Boh... possibilmente mai...
"Dì un po'... passa un altro esame, completo, col voto sul libretto, e questa volta voglio VEDERLO SCRITTO... e io ti do ancora qualcosa! Ma che non diventi un'abitudine!"
Devo ammetterlo: mi aveva colto di sorpresa!
E così, avevo deciso che cosa fare con Fisica1.
Lunedì 21 ottobre: L'INGIUSTIZIA!
Quel lunedì mi alzai come sempre all'alba, mezzogiorno... ma stavolta ero deciso, motivato, pronto: avrei passato tutto il giorno a STUDIARE!
E poi trovai tutti al dehors del Baffo a fare CASINO... la vita è così.
"Ma quindi, non ho capito bene... cioè, spiegami un po'... - disse
Mandingo -
Se, metti caso, ti ha davvero SEGATO, che fai? Parti per NAJA? Ihihiiiiiiiiii!"
"Mah... - rispose Joco
- Magari mette un altro appello a novembre... o a dicembre..."
"Sìsì! PROBAABILE!"
"Ohu! - esclamai -
Ma ancora non sono usciti quei cazzo di risultati di Joco?"
"E tu, Marok? Lo faaai l'orale di Fisica?"
"Ma sì... - risposi
- Quasi quasi..."
L'Essere si colorò di ultravioletto, le vene in fronte divennero radioattive, i capelli si espansero sull'intera faccia, il dito scattò... e disse:
"TI SEEEEEEEEEEGA!!!"
"Ma soooka! Parto da 28!"
"HA SEGATO UNA CON VENTINOVE!"
"..."
"E comunque, se prendi più di me, è un'INGIUSTIZIA!!!"
Mi sentivo di nuovo a casa.
Joco era agitato con moto, così camminammo fino a scuola ruttando e cantando:
"Spaccati il culo, spaccati il culo, parti per NAJA, parti per NAJA, bastone, bastone, rifai le brande, rifai le brande, onora i nonni, onora i nonni, scopa nel culo, scopa nel culo, bevi il piscio, mangia la mmmmerda!"
Poi salimmo le scale, entrammo in atrio... e c'era una novità:
ERANO APPENA STATI APPESI I RISULTATI DI CALCOLO!
Joco urlò, scattò, si stampò di faccia contro la bacheca e lesse.
15 ottobre 1996
CALCOLO NUMERICO
Vecchio Ordinamento
...
...
...
...
...
...
...
...
...
...
...
...
...
...
...
...
...
...
...
...
...
...
...
...
...
...
Joco: 19
CE L'AVEVA FATTA!!!
Il CIUCCIO era SALVO!!!
Cioè, va be'... sarà salvo se passerà l'orale, il
19 novembre... ma 19 è il suo numero fortunato! Forse.
Boh, comunque a scuola, tanto per cambiare, nessuno combinò un cazzo fino a sera... poi mi barricai in casa, perché
ricominciava Mai dire Gol!
Puntata carina e
sigla spettacolare, cantata come sempre da Elio e le Storie Tese, che
prendeva per il culo l'ampolla di acqua del Po di Bossi!
Per il resto, non vi anticipo nulla... occhio alla diapositiva.
Martedì 5 novembre: PRELIMINARI ORALI
Quel martedì mi alzai alle otto del mattino: persino l'Ansia mi prendeva per il culo... per non parlare di Nerina, del Pentium e della Voce della mia Coscienza... ma ero sicuro di una cosa:
FINALMENTE sarebbe DAVVERO stata l'ultima CAZZO di volta in tutto il '96!
Comunque, in
Aula E
c'eravamo TUTTI!
Joco, Nichel, Mandingo, MiOpìO, Spranga, GM e MisterBean!
Gli ultimi due davano l'orale con me... tutti gli altri
erano il PUBBLICO! Tipo voi, però rompevano i koglioni.
Solo Budo ed il Pazzo erano ufficialmente dispersi: nessuno aveva più avuto notizie dal 12 settembre... in compenso, c'erano diverse new entry con otto lettere stampate sulla fronte: ANTINAJA.
"Buongiorno! - disse la prof
- Quanti siete?"
"Dieci..." rispose uno degli ANTINAJA.
"Ok, allora qualcuno passerà domani! È un problema?"
Mi segnai per ULTIMO del SECONDO giorno, ma rimasi comunque là ad ascoltare gli orali di
GM e MisterBean, che andarono da DIO:
presero entrambi 28! Poi salutai il gentile pubblico e me andai affankulo.
Quella sera, però, mi chiamò Nichel, per ricordarmi quello che mi aspettava:
l'Essere che volava di fronte alla finestra di camera mia, vestito da strega, sulla scopa, facendo il ghigno malefico! E ripetendo fino all'alba:
"Ihihihihihiiiiiiiiii! TI SEEEEEEEEEGA! Ha segato uno con VENTINOOOOOVE! Non prenderai più di me, altrimenti è un'INGIUSTIIIIIIIIIZIA! Ihihihihihiiiiiiiiii!"
Tutta la notte così.
Con questa immagine, provai a dormire.
Mercoledì 6 novembre: VIA!
Dai, almeno stavolta... sarebbe stata l'ultima che mi alzavo alle otto... no?
No?
Stiracchiandosi, Nerina mi diede dello sfigaaaaato,
il Pentium mi disse FOTTITI FANKULO
ed anche l'Ansia si dichiarò assolutamente d'accordo.
Comunque, arrivai a scuola che
non c'era NESSUNO! Poi arrivarono i quattro ANTINAJA ed infine Spranga e MiOpìO.
"Sai la novità? - disse Spranga -
Oggi ci prova anche
MiOpìO!"
"Ebbene sì... - confermò MiOpìO -
Ho fatto come Joco... e la profia mi ha dato l'OK! Spero che adesso non sia troppo bastarda..."
Al suo arrivo, la prof decise che eravamo indegni di occupare l'Aula E, quindi
ci spostò nel "gabbiotto", quello in cui Sviscovich faceva gli orali di Sistemi1.
Naturalmente,
mi ero segnato per ultimo.
"Senta... - disse al primo -
Se non sa NEMMENO questo, possiamo fare una cosa: io le do 18, però lei prenda in seria considerazione l'idea di RITIRARSI dall'UNIVERSITÀ, perché veramente non è portato!"
Gli altri andarono PEGGIO.
Poi, verso le undici, entrarono Mandingo e Grip... stremati.
"Buongiorno! - dissi
- Appena svegli?"
"No, arriviamo da ROGA..."
"Ma dai! E com'è andata?"
"Eh... abbiamo cannato TUTTO!"
"ALLORA? - chiese la prof -
VUOLE RIDARE FISICA?"
"Nonò... - esclamò
Mandingo, tra le risate generali...
- Ero qui solo per..."
"Va bene, va bene, SILENZIO! Lei, invece, venga e si sieda!"
Diceva a MiOpìO, che docilmente ubbidì.
"Bene... Mi parli del principio di conservazione dell'energia meccanica!"
Con calma,
MiOpìO iniziò l'orale... e, devo dire,
non era affatto male: era lento, calmo, pacifico... aveva il suo perché.
Io però avevo bisogno di fare quattro passi: avevo la circolazione a puttane! Solo pochi minuti, poi l'Ansia mi convinse a ritornare dentro... appena in tempo per sentire la prof pronunciare testuali parole:
"È andato in LOOP!"
Mandingo scoppiò a ridere... e la prof lo guardò MALISSIMO!
"Senta... - disse a MiOpìO
- Facciamo una cosa. Il prossimo appello è molto vicino, è martedì 12 novembre... e temo che una settimana non le basti. In via eccezionale, le tengo buono il voto fino all'appello di dicembre. Oltretutto, è il giorno di Santa LUCIA..."
No, dai, Santa Lucia era TROPPO!
Scoppiammo TUTTI a ridere senza ritegno... Ansia compresa!
L'unico a non ridere fu MiOpìO... e non perché fosse offeso: semplicemente, era l'unico a NON sapere che Santa Lucia... è
la protettrice dei cecati!
"SILENZIO! - urlò la prof
- VENGA AVANTI E SI SIEDA!!!"
Sì, stavolta diceva a me.
E FINALMENTE... L'ORALE!
Presi posto e trattenni il respiro.
Alle mie spalle, il silenzio.
Di fianco, l'Ansia stava suonando tutto il
"Rocky Horror Picture Show" all'incontrario. Piuttosto bene, tra l'altro.
Di fronte, la prof:
"Per iniziare, mi faccia un parallelo tra la conservazione della quantità di moto e le leggi di Keplero!"
Eeeeeeeeeeh???
No, dai, mi stava prendendo per il culo... blinda Antani la supercazzola?
Paperissima?
Scherzi a parte?
Specchio segreto di Nanni Loy? Eh?
"Ok... - risposi
- Per iniziare, definiamo la conservazione della quantità di moto..."
Scrissi le prime formule e mi sembravano giuste, ma la prof mi fermò.
"Senta... - disse
- Facciamo una cosa. Lei adesso si ALZA..."
No, cazzo. Quello no.
È solo la prima domanda... ed è una domanda assurda!
Non mi può SEGARE così... dai, minchia! Non l'ha fatto con nessuno!!!
"...va a prendere un caffé e torna. Stia fuori almeno cinque minuti e si riprenda. E facciamo finta che non sia successo niente. Ok?"
"Eh???"
"Oppure una camomilla, se vuole. Ma SI RILASSI, altrimenti il suo 28 se lo può scordare!"
Alle mie spalle, c'era il gelo.
Uscii fuori, accompagnato dagli altri handicappati.
"Ma che CAZZO ti ha chiesto???"
"Dai, ti prendeva per il culo... adesso torni e ti fa una domanda normale..."
"...oppure ti SEEEEEEEEEEGA! Tanto non parti per NAJA..."
Al nostro ritorno, la prof sorrise e l'esame ricominciò.
"Parliamo di urti! Mi racconti un po' che cosa succede quando due masse entrano in contatto..."
Ok, dai. Questa era facile.
"Perché ha scritto che ΔQ=K?"
"La Quantità di moto è costante... - risposi
- quando il sistema è isolato!"
"Me lo dimostri!"
Azz!
Non l'avevo mica studiata la dimostrazione, non la chiedeva mai!
Tipo il Tubo di FLUSSO...
Porca troia... e adesso?
GM l'avrebbe ricavata al momento!
McLaud ne avrebbe inventata una migliore di tutte quelle già pubblicate in letteratura... e la prof gli avrebbe chiesto il permesso di poterla pubblicare!
Invece, in prima linea c'ero io... e tirai fuori una mezza cagata.
"No, no, senta... - disse la prof
- Le cose più o meno le ha capite, ma è davvero TANTO impreciso! Salta dei passaggi fondamentali... qua ha tralasciato una sommatoria, qua un integrale! Secondo me, lei ha proprio delle lacune matematiche!"
Però, intuitiva! Dovrebbe andare a Scotland Yard.
"Senta... passiamo a termodinamica,
mi disegni un'adiabatica. Oh, bravo! Meno male.
Che equazione ha?"
Porca troia, non sapevo VERAMENTE un cazzo. E ora?
"Non cerchi di ricordare! - continuò
- La ricavi guardando il grafico! Che curva è?"
"Be'... - risposi
- È un'iperbole..."
"Quindi? Che cosa indicano gli assi?"
"Pressione e Volume..."
"Quindi?"
Dovevo rischiare. Sparai
PV=K.
"MA NO! - sbottò la prof
- Ma la guardi! Le sembra EQUILATERA?"
"Be'..."
"EPPURE HA GIÀ DATO ANALISI DUE!"
Alle mie spalle, si levò un mormorio.
"Pensi alle equazioni di POISSON! Le avete fatte, no?"
Ah, il caro Poisson, vecchia spugna...
"Almeno si ricorda come indichiamo il rapporto tra calore specifico a pressione costante e calore specifico a volume costante?"
"Con γ..."
"Oh, bene! Quindi? Dove lo mettiamo questo gamma?"
Da dietro,
Mandingo scoppiò a ridere FORTISSIMO... e la prof lo squadrò con SCHIFO!
Comunque, mi fu utile per guadagnare qualche secondo.
Dovevo rischiare, aggiunsi il gamma tra la V e l'uguale:
PVγ=K.
"Scusi, non ho capito... - commentò la prof
- Il gamma è fattore della moltiplicazione o esponente di V?"
Eh??? Esponente di V???
Ma come cazzo faceva a venirle in mente una CAGATA del genere? La mia scrittura era chiara, non ero mica GM! Un attimo. Calma.
Calma.
Se la CAGATA le era venuta in mente, ci poteva essere un solo motivo... e io non potevo più aspettare, altrimenti avrei perso in ogni caso.
Saltai nel buio.
"Esponente di V!" risposi, fingendo un'improbabile naturalezza.
"OH, FINALMENTE!!! Come mai ci ha messo tanto? Era agitato?"
Che CULO, cazzo! CHE CULO!!!
"Eh, un po'... Sa, la prima domanda mi aveva un po'..."
"Sì, sì, mi dica un'ultima cosa: mi parli della spinta di Archimede!"
Tirai un sospiro di sollievo... dai, questa era davvero facile, era da elementari.
Dissi le due stronzate di rito e feci il disegno.
"E fin qua ci siamo... ma perché la spinta è uguale al peso?"
"C'è bilanciamento..."
"Eh NO! In Fisica il bilanciamento ha un significato BEN PRECISO... e mi sa che lei NON LO CONOSCE!"
"..."
"Non ci siamo proprio, vedo. Com'è la forza risultante?"
"Eh??? È nulla..."
La prof annuì: evidentemente era la risposta che avrebbe voluto sentire.
E quindi ero SEGATO, mi sa... fine dell'avventura.
"Le propongo 24! - disse
- Veda lei se accettare o meno..."
"Beh..."
THE END
E fu così che quel giorno almeno due persone furono FELICI!
La prima ero io, naturalmente... ma la seconda?
Mandingo!
Ricordate?
"SE PRENDI PIÙ DI ME, È UN'INGIUSTIIIIIZIA!!!"
Ebbene, avevo preso 24: esattamente un punto meno di lui!
E adesso, anche senza AntiNaja, era tempo di festeggiare!!!
YEEEEEEEEEEEEEEEE!!!
Ci tengo a precisare che, secondo il giudice, non c'entriamo assolutamente nulla con la seguente diapositiva.
APPENDICE
Tranquilli, non vi avrei mai mandato affankulo così, senza prima aver risposto alla domanda che TUTTI vi siete fatti, fin dalle prime pagine di questo racconto:
"Ma alla fine proprio NESSUNO TROMBA???"
La risposta è nei vostri hard disk, e però è CORROTTA!
Ma parliamo di cose interessanti:
MiOpìO!
Sfidando i consigli della prof, ritentò l'orale il 12 novembre... e
andò da DIO: prese anche lui 24! A conti fatti,
eravamo i due PEGGIORI di tutta la compagnia... era bello, avevo trovato un'anima gemella!
Così, combinammo di beccarci a
Zona Castalia e festeggiare, ma lui NON arrivò in tempo... e non perché è lento: era in macchina con Spranga ed
un tizio gli ENTRÒ DENTRO mentre erano fermi al semaforo!
MiOpìO non si fece un cazzo, ma
Spranga si ritrovò con il collare: adesso, se voleva copiare, era fottuto!!!
Tranquilli, Spranga è sempre Spranga: è indistruttibile!
E alla fine, provando e riprovando,
Fisica1 l'avrebbe passata anche lui!
Di Budo e del Pazzo, invece,
nessuna notizia: dallo scritto di Fisica,
erano davvero spariti tutti e due... forse per sempre.
Al contrario, non sparirono
Mandingo e
Grip, che a dicembre
furono di nuovo SEGATI di ROGA!
Così, ogni volta che dicevamo a Grip:
"Mauro? ROGA! Mmmmauro? RRRRROGA! Mmmmmmmmmauro? RRRRRRRRRRRRROGA!" sclerava ancora di più... però con cognizione di causa.
Nel frattempo, senza rendersene troppo conto,
McLaud aveva quasi finito i laboratori di LFC e di Sistemi2, contemporaneamente, da solo... e aveva già dato tutti gli altri esami dei primi tre anni. Quindi,
rischiava seriamente di laurearsi nel '97 e di partire per NAJA perché era troppo bravo!!!
I paradossi della vita.
Anche
GM e
MisterBean, alias
"La coppia", facevano passi da gigante... però GM pestò una merda:
lanciò il crack di un gioco... ed
IL GIOCO GLI CANCELLÒ L'INTERO HARD DISK!!!
Fu il secondo a fottersi i dati, dopo Mandingo.
Sì, grazie del consiglio, dovevo muovermi a fare backup.
E
Nichel? Alla fine sarebbe riuscito a trombare allo Chez Nous?
E a dare Analisi2?
Una delle due cose andò bene... vi lascio indovinare quale.
E
Joco?
La
"Mission Impossible"?
L'orale
AntiNaja?
Fankulo, per vederlo mi toccò alzarmi di nuovo alle otto del mattino! Immaginate le prese per il culo della Voce della mia Coscienza, di Nerina e del Pentium.
Però fu una figata:
martedì 19 novembre, Palazzo Campana
sembrava un RAVE! Però senza l'erba e senza la pheega.
Da segnalare le ultime parole di Joco prima di andare alla sbarra:
"Mi sembra di stare in una botte di ferro. PIENA DI MERDA!"
L'interrogazione
durò un'ora, forse anche di più.
Per quanto impassibile, la prof lasciava saltuariamente trasparire dello skifo... però poteva anche essere un fatto ormonale: lei era pur sempre donna e lui era pur sempre Joco.
Alla fine, quando eravamo già pronti a cantare tutti assieme:
"JOCO PARTE PER NAJA!!!",
il libretto si aprì... e scese il silenzio.
Non volava una mosca.
Solo Joco ebbe un sussulto... e, fissando l'atterraggio della penna sulla carta, pronunciò testuali parole:
"TUTTO SOMMATO, LA SUA MATERIA MI È PIACIUTA!"
Palazzo Campana ESPLOSE.
CHIUNQUE in quell'aula scoppiò a ridere... tranne la prof.
Però alla fine ebbe pietà e
GLI SEGNÒ COMUNQUE IL VOTO: 20.
Il CIUCCIO era SALVO!!!!!
E, con lui, i nostri laboratori.
Infine, portammo a termine anche la missione più difficile:
trovare dei nickname a tutti, per stampare questa cazzo di recensione.
Per
Spud e
Begbie il Porko... beh, avete visto
Trainspotting!
Forse anche loro, ma non lo sapremo mai... peccato.
Per tutti gli altri, andammo a cazzo.
Da segnalare, la reazione di
Grip:
"Dai, fa PETTARE! Ma non puoi continuare a chiamarmi con il COGNOME? Ma minchia..."
E quella di Nichel:
"Ma perché Spranga? Dovevi chiamarlo FANTOZZI, come ti avevo detto io! È UGUALE, due gocce d'acqua! E poi è pure SFIGATO... e va sempre in giro con MiOpìO: Fantozzi e Filini! Era PERFETTO!"
Per la cronaca,
il nick "Spranga" deriva da una partita di
Pictionary,
in cui NON è riuscito ad indovinare la parola
"Spranga", nemmeno dopo il milionesimo tentativo.
Per il resto, era ovvio che i nick
"artificiali" non sarebbero mai suonati bene come quelli naturali, anche perché entravano in conflitto con i giochi di parole ed i messaggi nella segreteria! Però
Jena il rollatore disse che gliene fotteva meno che al
marito di Lorena Bobbitt:
aveva altro a cui pensare.
Ebbene sì, cari diversamente figati... non sempre si può scrivere un lieto fine: nella sua Economia e Commercio, Jena provò e riprovò a dare esami, fino all'ultimo appello di novembre... e
fu SEGATO SEMPRE, senza pietà.
Così, a dicembre si mise l'anima in pace: era inutile terminare l'anno incazzato, tantovaleva godersi le ultime serate di libertà.
Andavamo sempre ai Muri, gloriosamente riokkupati, ed una sera
beccammo Mao, il cantante di Mao e la Rivoluzione.
Passeggiava da solo al freddo, ci riconobbe e ci salutò... e poi sparì nella nebbia. Era davvero una proiezione della nostra sfiga!
In mondo perfetto, anche lui sarebbe partito per Naja... finendo in caserma assieme a Jena, naturalmente!
Chissà... lo scopriremo solo vivendo.
La vera notizia, però, era un'altra: a pochi giorni dall'orale di Joco (per l'esattezza 7618),
QUEL tratto dei Murazzi in cui lo sbarco dei leghisti aveva scatenato l'INFERNO che aveva intossicato mezza Torino, proprio QUEL tratto PRECISO sotto la statua di Garibaldi, ma proprio QUELLO LÀ della rivolta antiPadana,
venne intitolato al leader storico della LEGA NORD piemontese: GIPO FARASSINO!
E così, adesso
l'indirizzo del
CSA è
LungoPo Gipo Farassino 25/27.
Cara amica, il tempo prende e il tempo dà.
E noi viaggiavamo in una sola direzione: il Capodanno!
E voi? Be', potete fare solo una cosa: andare militarmente, padanamente, lentamente e fisicamente affankulo!